BackDefinite Integrals: Area Under a Curve and Riemann Sums
Study Guide - Smart Notes
Tailored notes based on your materials, expanded with key definitions, examples, and context.
Definite Integrals
Area Problem and Introduction to Riemann Sums
The definite integral is a fundamental concept in calculus, used to calculate the area under the graph of a function over a specified interval. In this section, we focus on finding the area under the curve of f(x) = x^2 on the interval [0,1] using partitions and rectangles.
Area under a curve: The region under the graph of a function, bounded by the x-axis and the interval, is often denoted as R.
Partition: Dividing the interval [0,1] into subintervals using points such as 0, 1/2, and 1. The set of these points is called a partition of the interval.
Rectangular approximation: Rectangles are constructed to cover the region from inside (lower sum) and outside (upper sum).
Approximating area: The area A satisfies , where and are the lower and upper sums for the partition.
![Area under the curve y=x^2 on [0,1]](https://static.studychannel.pearsonprd.tech/study_guide_files/business-calculus/sub_images/18b08605_image_1.png)
Lower and Upper Sums
To estimate the area more accurately, the interval is further subdivided, and the sums of the areas of rectangles are calculated. The lower sum uses the minimum value of the function in each subinterval, while the upper sum uses the maximum value.
Lower sum: is the sum of areas of rectangles using the lowest function value in each subinterval.
Upper sum: is the sum of areas of rectangles using the highest function value in each subinterval.
Inequality: , where A is the actual area under the curve.

Refining the Partition
By dividing each subinterval into smaller parts, the approximation of the area becomes more accurate. For example, dividing [0,1] into quarters and calculating the lower sum:
Partition points:
Lower sum formula:
Calculation:

Comparing Sums and Increasing Partition Points
As more points are added to the partition, the lower and upper sums provide better approximations for the area. For partitions with equal subintervals, the sums are calculated as follows:
Lower sum:
Upper sum:
Subinterval width:

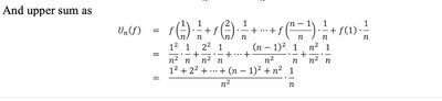
Formulas for Lower and Upper Sums
The sums can be expressed using the sum of squares formula for natural numbers:
Lower sum:
Upper sum:
Sum of squares formula:

Limit of Sums and the Definite Integral
As the number of subintervals increases (n → ∞), the lower and upper sums converge to the actual area under the curve, which is the value of the definite integral:
Limit of lower sum:
Limit of upper sum:
Definite integral:
Decimal approximation:

Additional info: The process described above is the foundation of the Riemann integral, which is used to rigorously define the area under a curve. The method of partitions, lower and upper sums, and their limits is essential for understanding definite integrals in business calculus.