BackChapter 10: Sampling Distributions – Study Notes for Business Statistics
Study Guide - Smart Notes
Tailored notes based on your materials, expanded with key definitions, examples, and context.
Sampling Distributions
Introduction to Sampling Distributions
Sampling distributions are fundamental in statistical inference, allowing us to understand how sample statistics (such as means or proportions) behave when drawn from a population. The concept is crucial for estimating population parameters and assessing the reliability of sample results.
Population: The entire group of individuals or items of interest.
Sample: A subset of the population, selected according to a specific method.
Sampling Error: The natural discrepancy between a sample statistic and the corresponding population parameter, calculated as .

Sampling Distribution of the Mean
Definition and Properties
The sampling distribution of the mean is the probability distribution of all possible sample means for samples of a given size drawn from a population. This distribution is central to inferential statistics.
Mean of Sampling Distribution: The mean of all sample means equals the population mean (), making the sample mean an unbiased estimator.
Standard Deviation (Standard Error): The standard deviation of the sampling distribution of the mean is , where is the population standard deviation and is the sample size.

Cases for the Shape of the Sampling Distribution
Case I (Normal Population, Known ): If the population is normal, the sampling distribution of the mean is also normal for any sample size: .
Case II (Normal Population, Unknown ): If is unknown, use the sample standard deviation and the distribution follows Student's t-distribution: with degrees of freedom.
Case III (Non-Normal Population, Large ): By the Central Limit Theorem (CLT), for large (typically ), the sampling distribution of the mean is approximately normal regardless of the population's shape.
Case IV (Non-Normal Population, Unknown , Large ): The sampling distribution of the mean follows a t-distribution using the CLT.

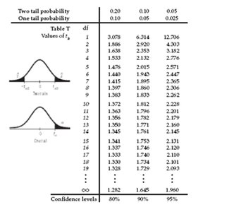
Student's t-Distribution
The t-distribution is used when the population standard deviation is unknown and the sample size is small. It is more variable than the normal distribution and has heavier tails. As the sample size increases, the t-distribution approaches the normal distribution.
Degrees of Freedom (df):
Heavier Tails: Accounts for extra variability due to estimating with .

The Central Limit Theorem (CLT)
Statement and Importance
The Central Limit Theorem states that, for a sufficiently large sample size, the sampling distribution of the sample mean will be approximately normal, regardless of the population's distribution. This theorem justifies the use of normal probability models in many practical situations.
Sample Size Rule: A common rule is for the CLT to apply.
Symmetric Populations: Smaller samples may suffice if the population is symmetric.
Highly Skewed Populations: Larger samples are needed for the sampling distribution to be normal.

Examples of CLT in Action
Uniform Population: Even with a non-normal (uniform) population, the sampling distribution of the mean becomes normal as increases.
Triangular and Skewed Populations: The same principle applies; the sampling distribution of the mean becomes more normal with larger .


Assumptions and Conditions for Sampling Distributions
Independence: Sampled values must be independent.
Randomization: Data must be randomly sampled.
10% Condition: Sample size should be no more than 10% of the population when sampling without replacement. If violated, apply the finite population correction factor (FPCF).
Large Enough Sample Condition: For highly skewed populations, larger samples are needed for the sampling distribution to be approximately normal.
Standard Error and Finite Population Correction
Standard Error Formulas
Known :
Unknown :
With FPCF (if ): or
Sampling Distribution of Proportions
Population and Sample Proportions
Population Proportion (): , where is the number of items with the attribute in the population, is the population size.
Sample Proportion (): , where is the number of items with the attribute in the sample, is the sample size.
Sampling Distribution of Proportions
Mean:
Standard Error: , where
Shape: For large , the distribution is approximately normal; for small , it is binomial.
Conditions for Normal Approximation
Independence and Randomization
10% Condition
Success/Failure Condition: and
Standard Error with Finite Population Correction
With FPCF:
Calculating Probabilities for Sample Means and Proportions
Sample Means
Direct Scenario: Given , calculate or
Working Backward: Given probability, find or from tables, then solve for .
Sample Proportions
Direct Scenario: Given , calculate
Working Backward: Given probability, find from tables, then solve for .
Summary Table: Key Formulas
Statistic | Mean | Standard Error (10% Condition Satisfied) | Standard Error (FPCF Applied) |
|---|---|---|---|
Sample Mean (, known) | |||
Sample Mean (, unknown) | |||
Sample Proportion () |
Practice and Application
Use the formulas and tables to calculate probabilities and critical values for sample means and proportions.
Always check assumptions and conditions before applying normal or t-distribution approximations.