BackApplications of Definite Integrals: Volumes Using Cross-Sections
Study Guide - Smart Notes
Tailored notes based on your materials, expanded with key definitions, examples, and context.
Applications of Definite Integrals
Volumes Using Cross-Sections
Calculus provides a systematic way to compute the volume of solids, especially those with irregular shapes, by using definite integrals. The method of slicing a solid into thin cross-sections and summing their volumes leads to a precise definition of volume.
Definition of Volume
Volume is the measure of the amount of space occupied by a solid.
For simple solids like cylinders, the volume can be calculated directly using geometric formulas.
For more complex solids, calculus is used to define and compute the volume by integrating the area of cross-sections.

Volumes of Simple Solids
Circular Cylinder: If the base is a circle of radius r and height h, the volume is .
Rectangular Box: If the base is a rectangle with length l, width w, and height h, the volume is .


Volumes of General Solids: The Slicing Method
For solids that are not simple cylinders or boxes, we use the method of slicing:
Intersect the solid S with a plane perpendicular to the x-axis at position x to obtain a cross-section.
Let A(x) be the area of the cross-section at x, where a \leq x \leq b.
The volume is approximated by summing the volumes of thin slabs (cylindrical slices) of thickness .


Riemann Sum Approximation
The volume of each slab is approximately .
The total volume is approximated by the Riemann sum:

Definition of Volume by Definite Integral
As the number of slabs increases () and their thickness decreases (), the Riemann sum approaches the definite integral:

Special Case: Cylinder
If the cross-sectional area is constant, , then the formula reduces to , matching the geometric formula for a cylinder.
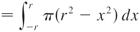
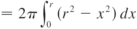
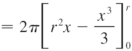
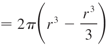
Example: Volume of a Sphere
To find the volume of a sphere of radius r:
Place the sphere with its center at the origin.
The cross-section at position x is a circle of radius .
The area of the cross-section is .

The volume is computed as:

Since the integrand is even, this can be written as:

Evaluating the integral gives:

Substituting the limits yields:

Geometric Interpretation and Approximation
The sphere's volume can be approximated by summing the volumes of cylindrical disks (slabs).
As the number of disks increases, the approximation becomes more accurate.

General Formula for Volumes by Cross-Sections
The volume of a solid with cross-sectional area perpendicular to the x-axis from to is:
Alternatively, if slicing perpendicular to the y-axis:

Solids of Revolution
Solids of revolution are formed by revolving a region about a line (axis). Their volumes are calculated using definite integrals and the method of cross-sections.
Disk Method
If the cross-section perpendicular to the axis of revolution is a disk, the area is .
Washer Method
If the cross-section is a washer (a disk with a hole), the area is:

Example Application: These methods are used to find the volumes of objects such as spheres, cones, and solids with holes (washers), which are common in engineering and physics.
Additional info: The notes above provide a foundational approach to finding volumes using definite integrals, including the geometric intuition, the formal definition, and practical computation methods for both simple and complex solids.