BackComprehensive Study Notes: The Derivative and Its Applications
Study Guide - Smart Notes
Tailored notes based on your materials, expanded with key definitions, examples, and context.
Section 3.1: Introducing the Derivative
Secant and Tangent Lines
The derivative is fundamentally connected to the concept of the slope of a line. The slope of a secant line between two points on a function gives the average rate of change, while the slope of the tangent line at a point gives the instantaneous rate of change.
Secant Line Slope: The slope between points (a, f(a)) and (x, f(x)) is .
Tangent Line Slope: The instantaneous rate of change at a is or equivalently .


Definition of the Derivative at a Point
The derivative of f at a point a, denoted f'(a), is defined as:
or
If this limit exists, f is differentiable at a.

Section 3.2: The Derivative as a Function
Notation and Interpretation
The derivative is itself a function, often denoted as f'(x) or , and represents the instantaneous rate of change of f with respect to x at any point.
Physical Interpretation: In applications, the derivative can represent velocity, acceleration, marginal cost, and other rates of change.
Continuity and Differentiability
If a function is differentiable at a point, it must also be continuous there. However, continuity does not guarantee differentiability.
Not differentiable at a point if:
The function is not continuous at that point.
The function has a corner or cusp at that point.
The function has a vertical tangent at that point.

Section 3.3: Rules of Differentiation
Basic Differentiation Rules
Constant Rule:
Power Rule: (for any real number n)
Constant Multiple Rule:
Sum/Difference Rule:

Product and Quotient Rules
Product Rule:
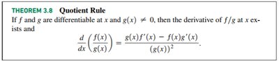
Quotient Rule:


Section 3.4: Applications of the Derivative
Velocity, Speed, and Acceleration
For a position function :
Velocity:
Speed:
Acceleration:

Average and Marginal Cost
For a cost function :
Average cost:
Marginal cost: , the approximate cost to produce one additional item after producing items.


Section 3.5: Higher Order Derivatives
Definition and Notation
First derivative:
Second derivative: or
n-th derivative:
Higher order derivatives are found by repeatedly differentiating the function.
Section 3.6: Derivatives as Rates of Change
Average and Instantaneous Velocity
The average velocity over an interval is:
The instantaneous velocity at is:

Applications in Economics
Elasticity: Measures the responsiveness of demand to changes in price, defined as .
Section 3.7: The Chain Rule
Chain Rule for Composite Functions
If , then the derivative is:
This rule extends to compositions of more than two functions by repeated application.
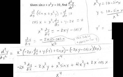
Section 3.8: Implicit Differentiation
Implicit Functions
When is defined implicitly by an equation involving both and , differentiate both sides with respect to , treating as a function of (using the chain rule as needed).
Example: For , differentiating both sides gives .
Solve for : .


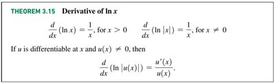
Section 3.9: Derivatives of Logarithmic and Exponential Functions
Exponential and Logarithmic Derivatives
for
for
If is a differentiable function,


Section 3.10: Derivatives of Inverse Trigonometric Functions
Formulas for Inverse Trig Derivatives
for
for
for all
for

Section 3.11: Related Rates
Concept of Related Rates
When two or more quantities are related and change with respect to time, their rates of change are also related. Use implicit differentiation with respect to time to relate these rates.
Sign convention: The rate is positive if the quantity is increasing, negative if decreasing.

Tables and Data Interpretation
Using Tables to Compute Derivatives
Given values of functions and their derivatives in a table, use the chain rule and other differentiation rules to compute derivatives of composite functions.
x | 1 | 2 | 3 | 4 |
|---|---|---|---|---|
f(x) | 2 | 4 | 1 | 3 |
f'(x) | -9 | -4 | -8 | -1 |
g(x) | 4 | 2 | 3 | 1 |
g'(x) | 1/9 | 5/9 | 8/9 | 7/9 |
Sample Problems and Applications
Projectile motion: Find velocity, acceleration, and maximum height using derivatives.
Population growth: Use derivatives to find growth rates and interpret graphs.
Demand and elasticity: Use derivatives to analyze economic models and elasticity of demand.
Revenue maximization: Use derivatives to find marginal revenue and optimize pricing.
Summary Table: Key Differentiation Rules
Rule | Formula |
|---|---|
Constant Rule | |
Power Rule | |
Product Rule | |
Quotient Rule | |
Chain Rule | |
Exponential | |
Logarithmic | |
Trig (sin, cos) | , |
Inverse Trig |
Additional info: These notes synthesize the main concepts, rules, and applications of derivatives as presented in the provided materials, with relevant images and tables included to reinforce understanding.