BackImproper Integrals (Section 8.7): Definitions, Types, and Convergence Tests
Study Guide - Smart Notes
Tailored notes based on your materials, expanded with key definitions, examples, and context.
Improper Integrals
Introduction to Improper Integrals
Improper integrals extend the concept of definite integrals to cases where the interval of integration is infinite or the integrand becomes unbounded within the interval. These integrals are essential for evaluating areas and quantities that would otherwise be undefined using standard integration techniques.
Types of Improper Integrals
Type I: Integrals with infinite limits of integration.
Type II: Integrals where the integrand becomes infinite at one or more points in the interval of integration.
Improper Integrals of Type I
Definition and Properties
Improper integrals of Type I occur when at least one limit of integration is infinite. The value of such an integral is defined as a limit:
If f(x) is continuous on [a, \infty), then
If f(x) is continuous on (-\infty, b], then
If f(x) is continuous on (-\infty, \infty), then where c is any real number.

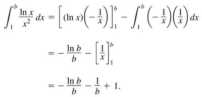
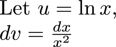
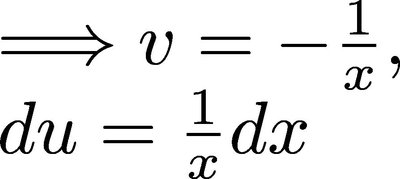
Example: Evaluating an Improper Integral
Consider the integral :
Let , , so , .
By integration by parts:



Example: Integral over the Entire Real Line
Evaluate :
Split the integral at 0: As , , so the value is .
Similarly, .
Thus, .



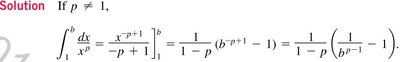
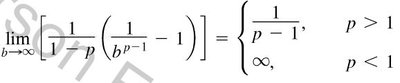
The p-Test for Convergence
The convergence of depends on the value of p:
If , the integral converges.
If , the integral diverges.
General solution for :
Taking the limit as :


Improper Integrals of Type II
Definition and Properties
Improper integrals of Type II occur when the integrand becomes infinite at one or more points within the interval of integration. The value is defined as a limit approaching the point of discontinuity:
If f(x) is continuous on (a, b] and discontinuous at a:
If f(x) is continuous on [a, b) and discontinuous at b:
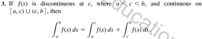
If f(x) is discontinuous at c (where ), and continuous on :


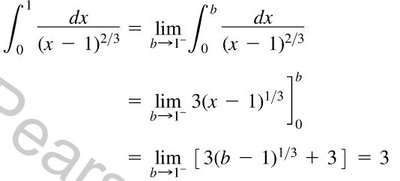
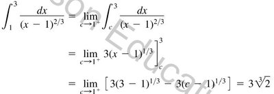
Example: Type II Improper Integral
Evaluate :
Break at the discontinuity :
Total value:



Convergence Tests for Improper Integrals
Direct Comparison Test
The Direct Comparison Test is used to determine the convergence or divergence of improper integrals by comparing them to a known function:
If for all and converges, then also converges.
If for all and diverges, then also diverges.

Example: Using the Direct Comparison Test
(a) converges because and converges.
(b) diverges because diverges.
(c) converges because and converges.

Limit Comparison Test
The Limit Comparison Test is useful when the Direct Comparison Test is inconclusive. If and are positive functions continuous on , and
, ,
then and both converge or both diverge.

Graphical Interpretation
Graphs can help visualize the behavior of improper integrals, especially when comparing functions or understanding the area under curves as the interval extends to infinity.

Additional info: The above notes include all major definitions, theorems, and examples from the provided material, with expanded academic context and step-by-step explanations for clarity.