BackMoments, Centers of Mass, and Improper Integrals
Study Guide - Smart Notes
Tailored notes based on your materials, expanded with key definitions, examples, and context.
§6.6 Moments and Centers of Mass
Introduction to Moments and Centers of Mass
Moments and centers of mass are fundamental concepts in calculus, physics, and engineering. They describe how mass is distributed in a system and where the 'balance point' or center of mass is located. These concepts are essential for analyzing physical systems, especially when dealing with rigid bodies and continuous mass distributions.
Rigid Bodies and Connections
Rigid body: A body whose shape cannot be changed.
Rigid connection: A connection that does not deform under force.

For several masses to make a rigid connection, the connections between them must have negligible mass compared to the masses in the system. If an object is cut into pieces, each piece has a center of mass, and the system can be modeled as masses at their centers of mass, connected rigidly and weightlessly.



Moments and Center of Mass for Discrete Systems
The center of mass for a system of discrete masses is the weighted average of their positions. For two masses, the center of mass is given by:
Formula:

For n masses connected rigidly in the xy-plane, the center of mass is:

This formula expresses the center of mass as the system moment about the origin divided by the total system mass.
Physical Interpretation: The Lever Principle
The concept of moments is closely related to the lever principle, where the balance point is determined by the equality of moments on either side of the fulcrum:
Lever Law:

Centers of Mass for Continuous Distributions
For a thin, flat plate (lamina) with a continuous mass distribution, the center of mass is found using integrals. The density function describes how mass is distributed over the region.
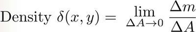
Density:


The coordinates of the center of mass are:


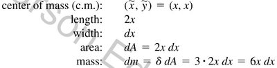
If the density is a continuous function of , then is near the center of the strip. Particularly, for a vertical strip.

Centers of Mass for Regions Bounded by Functions
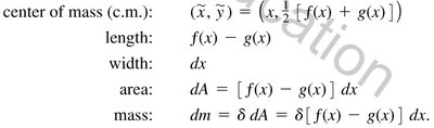
For a region bounded by and from to , the center of mass is:
Center of mass of a strip:
Area of strip:
Mass of strip:


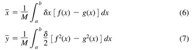
The coordinates of the center of mass are then:

For constant density, depends only on the shape of the plate, not the material.

Worked Example: Center of Mass of a Triangular Plate
Example: Find the center of mass of a triangular plate with vertices at (0,0), (1,0), and (1,2), and constant density g/cm2.
Set up the region and compute the mass and moments using integration.







§8.7 Improper Integrals
Introduction to Improper Integrals
Improper integrals extend the concept of definite integrals to cases where the interval of integration is infinite or the integrand becomes infinite within the interval. These are classified as Type I (infinite intervals) and Type II (infinite discontinuities).
Improper Integrals of Type I: Infinite Intervals
If is continuous on , then:
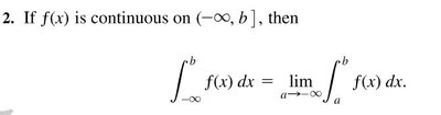
If is continuous on , then:
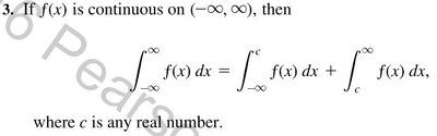
If is continuous on , then: for any real number .



Examples of Type I Improper Integrals
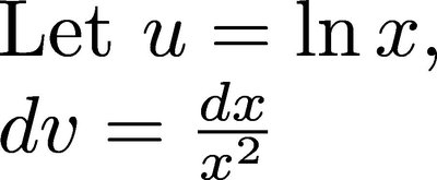
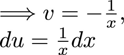
Evaluate using integration by parts:



Evaluate :


The result is .
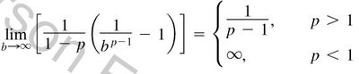
p-Test for Convergence
For , converges if and diverges if .


Improper Integrals of Type II: Infinite Discontinuities
If is continuous on and discontinuous at , then:
If is continuous on and discontinuous at , then:
If is discontinuous at in , then:


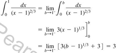
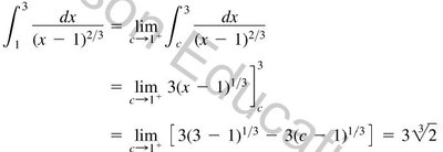
Example: Evaluating a Type II Improper Integral
Evaluate :

The result is .