BackAlgebraic Foundations and Quadratic Functions: Precalculus Study Guide
Study Guide - Smart Notes
Tailored notes based on your materials, expanded with key definitions, examples, and context.
Fundamental Concepts of Algebra
Order of Operations
The order of operations is a fundamental principle in algebra that dictates the sequence in which calculations should be performed to ensure consistent results. The acronym PEMDAS helps remember the order: Parentheses, Exponents, Multiplication/Division (left to right), Addition/Subtraction (left to right).
Parentheses (P): Perform operations inside grouping symbols first.
Exponents (E): Evaluate powers and roots next.
Multiplication/Division (M/D): Proceed from left to right.
Addition/Subtraction (A/S): Complete from left to right.

Example:
Start with the innermost grouping symbols.
Multiply and divide from left to right inside the brackets.
Follow the order of operations—multiplication comes before addition.

Distributive Property
The distributive property allows you to multiply a single term by each term inside a set of parentheses. This is essential for simplifying expressions and solving equations.
Formula:
Application: Useful for expanding expressions and solving equations.

Solving Linear Equations with Fractions
To solve equations involving fractions, find the least common denominator (LCD) and multiply both sides to clear the fractions. This simplifies the equation and allows for easier manipulation.
Step 1: Identify the LCD.
Step 2: Multiply both sides by the LCD.
Step 3: Simplify and solve for the variable.

Equations and Inequalities
Translating Words to Algebraic Expressions
Understanding key words is crucial for translating verbal statements into algebraic expressions. Addition, subtraction, multiplication, division, and equality are represented by specific phrases.
Operation | Key Words | Example | Expression |
|---|---|---|---|
Addition | increased by, more than, sum, together | a number increased by 2 | x+2 |
Subtraction | decreased by, less than, fewer than, difference | 2 less than a number | x-2 |
Multiplication | of, multiplied by, product, times | 2 times a number | 2x |
Division | quotient, ratio | the quotient of a number and 2 | x/2 |
Equals | is/are, the same as | The sum of a number and 2 is 10 | x+2=10 |


Graphs
Coordinate Plane and Graphing Lines
The coordinate plane is used to graph equations and visualize relationships between variables. Each point is defined by an (x, y) pair.
Axes: The horizontal axis is x, and the vertical axis is y.
Graphing Lines: Linear equations can be graphed using slope and y-intercept or by plotting points.

Fundamental Concepts of Algebra
Exponent Rules
Exponent rules are essential for simplifying expressions and solving equations involving powers. These rules apply to all real numbers and integers.
Zero Property:
Negative Property:
Product Property:
Quotient Property:
Power of a Power:
Power of a Product:
Power of a Quotient:

Number Sets, Set & Interval Notation
Set Notation
Set notation is used to describe collections of numbers. Set-builder notation specifies the properties that elements of the set must satisfy.
Example: means the set of all x such that x is less than or equal to 2.

Interval Notation
Interval notation is a concise way to represent ranges of values. Parentheses indicate endpoints are excluded, brackets indicate endpoints are included, and infinity is always paired with a parenthesis.
(a, b): All values between a and b, excluding a and b.
[a, b]: All values between a and b, including a and b.
(a, b]: Excludes a, includes b.
[a, b): Includes a, excludes b.
Union:



Functions & Graphs
Domain and Range
The domain of a function is the set of all possible input values (x-values), while the range is the set of all possible output values (y-values). These concepts are fundamental for understanding functions and their graphs.
Domain: All x-values for which the function is defined.
Range: All y-values that the function can produce.


Polynomial Functions
Quadratic Functions in Standard Form
A quadratic function is a polynomial of degree 2 and can be written in standard form as , where a, b, and c are real numbers and . The graph of a quadratic function is called a parabola.
Vertex: The vertex is the maximum or minimum point of the parabola. Its coordinates are .
Axis of Symmetry: The vertical line divides the parabola into two symmetric halves.
Opening Direction: If , the parabola opens upward; if , it opens downward.
Y-intercept: The y-intercept is at .



Graphing Quadratic Functions
To graph a quadratic function in standard form:
Find the axis of symmetry (AOS).
Find the vertex.
Plot two additional points, one on each side of the vertex, using symmetry.
State the domain and range in set or interval notation.


Factoring Techniques
Perfect Square Trinomials (PST)
Perfect square trinomials are quadratic expressions that can be factored into the square of a binomial. Recognizing PSTs is important for solving equations and simplifying expressions.
Formula:
Formula:
Example:
Example:

Factoring Quadratic Expressions
Factoring is the process of writing a polynomial as a product of its factors. This is essential for solving quadratic equations and simplifying expressions.
Example: can be factored as .

Graphing Quadratic Functions in Vertex and Intercept Forms
Vertex Form
The vertex form of a quadratic function is , where (h, k) is the vertex. This form makes it easy to identify the vertex and the direction of opening.
Vertex: (h, k)
Axis of Symmetry:
Opening Direction: If , opens up; if , opens down.


Intercept Form
The intercept form of a quadratic function is , where p and q are the x-intercepts. This form is useful for quickly identifying the roots and vertex.
X-intercepts: p and q
Vertex:
Y-value of vertex: Substitute into the equation.
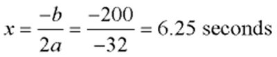
Applications: Quadratic Functions and Falling Objects
Projectile Motion
Quadratic functions model the height of objects in projectile motion, such as rockets or golf balls. The maximum height occurs at the vertex, and the time to reach the ground is found by solving .
Example: models a rocket's height.
Maximum height: Occurs at .
Initial height: Substitute .
Time to hit ground: Solve .

*Additional info: Some explanations and examples were expanded for clarity and completeness, including the factoring of quadratic expressions and the application of quadratic functions to projectile motion.*