BackFunctions and Their Graphs: Library and Piecewise-Defined Functions
Study Guide - Smart Notes
Tailored notes based on your materials, expanded with key definitions, examples, and context.
Functions and Their Graphs
Library of Basic Functions
The library of functions consists of several fundamental functions that serve as building blocks for more complex functions. Understanding their properties and graphs is essential in precalculus.
The Constant Function
Definition: , where is a constant.
Domain:
Range:
x-intercept: None (unless )
y-intercept:
Constant: Everywhere
Increasing/Decreasing: Neither
Even/Odd: Even
The Identity Function
Definition:
Domain:
Range:
x-intercept:
y-intercept:
Constant: Nowhere
Increasing: Everywhere
Decreasing: Nowhere
Even/Odd: Odd

The Square Function
Definition:
Domain:
Range:
x-intercept:
y-intercept:
Constant: At
Increasing:
Decreasing:
Even/Odd: Even

The Cube Function
Definition:
Domain:
Range:
x-intercept:
y-intercept:
Constant: At
Increasing: Everywhere
Decreasing: Nowhere
Even/Odd: Odd

The Square Root Function
Definition:
Domain:
Range:
x-intercept:
y-intercept:
Constant: At
Increasing:
Decreasing: Nowhere
Even/Odd: Neither

The Cube Root Function
Definition:
Domain:
Range:
x-intercept:
y-intercept:
Constant: At
Increasing: Everywhere
Decreasing: Nowhere
Even/Odd: Odd

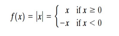
The Absolute Value Function
Definition:
Domain:
Range:
x-intercept:
y-intercept:
Constant: At
Increasing:
Decreasing:
Even/Odd: Even

The Reciprocal Function
Definition:
Domain:
Range:
x-intercept: None
y-intercept: None
Constant: Nowhere
Increasing:
Decreasing:
Even/Odd: Odd

Piecewise-Defined Functions
A piecewise-defined function is a function defined by different expressions on different intervals of its domain. These functions are useful for modeling situations where a rule changes based on the input value.
General Form:
Example: The absolute value function can be written as a piecewise-defined function:

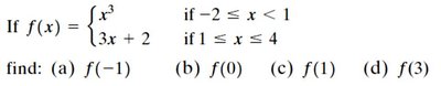
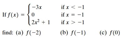
Example: Evaluating a Piecewise Function
Given , evaluate .
is undefined (since is not in the domain)
Example: Application of Piecewise Functions
Suppose a doctor's fee is based on the length of time:
Up to 6 minutes costs $50
Over 6 and up to 15 minutes costs $80
Over 15 minutes costs $80 plus $5 per minute above 15 minutes
This can be written as:

Analyzing Piecewise-Defined Functions
Domain: The set of all input values for which the function is defined.
Range: The set of all possible output values.
Intercepts: Points where the graph crosses the axes.
Continuity: Whether the graph has any breaks or jumps.
Increasing/Decreasing: Intervals where the function rises or falls.
Even/Odd/Neither: Symmetry properties of the function.
Example: Graphing and Analyzing a Piecewise Function
Given :
Domain:
Intercepts: Solve for each piece.
Continuity: Check for jumps at .
Range: Use the graph to determine all possible values.
Absolute Value as a Piecewise Function
The absolute value function is a classic example of a piecewise-defined function:

Practice: Evaluating and Writing Piecewise Functions
Given , write as a piecewise function:
Given , write as a piecewise function.
Given , write as a piecewise function.
Sample Problems
Function | Intervals | Evaluate |
|---|---|---|
, | ||
, , | ||
, | Evaluate at various | |
See intervals | Evaluate at various |




Additional info: For each piecewise function, always specify the domain for each piece, check for continuity at the endpoints, and graph each segment according to its formula and interval.