BackComplex Carbohydrates: Structure, Function, and Nutrition
Study Guide - Smart Notes
Tailored notes based on your materials, expanded with key definitions, examples, and context.
Complex Carbohydrates
Definition and Overview
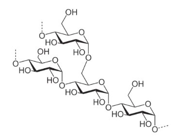
Complex carbohydrates, also known as polysaccharides, are large molecules composed of hundreds to thousands of glucose units linked together. They play essential roles in nutrition, energy storage, and structural support in plants and animals. - Key Polysaccharides: Starch, Glycogen, and Fiber - Structure: All are made of glucose, but differ in their bonding and arrangement, affecting digestibility and function. 
Types of Complex Carbohydrates
Starch
Starch is the primary storage form of carbohydrate in plants. It exists in two main forms: amylose and amylopectin. - Amylose: Straight, unbranched chains of glucose - Amylopectin: Branched chains of glucose - Sources: Grains, legumes, tubers, and seeds - Digestibility: Humans have enzymes to break down both amylose and amylopectin for energy.

Glycogen
Glycogen is the storage form of carbohydrate in animals, found mainly in the liver and skeletal muscle. - Structure: Highly branched, similar to amylopectin but with more extensive branching - Function: Allows rapid release of glucose when energy is needed quickly - Liver Glycogen: Maintains blood glucose levels - Muscle Glycogen: Provides energy for muscle activity 
Advantages of Branched Structures
Branched structures like glycogen and amylopectin allow for faster mobilization of glucose, which is critical during periods of high energy demand. - Rapid Breakdown: Multiple branch points enable enzymes to access and release glucose quickly.
Dietary Glycogen
Glycogen is not typically found in meat because it is broken down soon after animal slaughter.
Fiber
Dietary fiber consists of plant carbohydrates that are indigestible by human enzymes. - Types: Insoluble (cellulose, lignin) and soluble (pectin, inulin, guar gum) - Sources: Thick stems, seed husks, fruit skins, bran - Function: Adds bulk to stool, supports digestive health, and can be fermented by gut bacteria 
Cellulose
Cellulose is the main component of plant cell walls. - Structure: Long, stacked chains of glucose with hydrogen bonds between stacks - Digestibility: Humans lack enzymes to break cellulose; some fiber types are fermented by colon bacteria 
Bonding Differences in Polysaccharides
The type of glycosidic bond between glucose units determines digestibility and function. - Starch: α-1,4 and α-1,6 glycosidic bonds (digestible) - Fiber: β-1,4 glycosidic bonds (indigestible by humans) 
Where is the Fiber?
Fiber is concentrated in the bran and germ of grains, which are often removed during processing. - Bran: Contains most of the fiber - Germ: Contains vitamins and minerals - Endosperm: Mostly starch 
Oligosaccharides
Oligosaccharides are carbohydrates with 3-10 linked monosaccharides. - Examples: Stachyose (found in green beans and soybeans) - Digestibility: Humans lack the enzyme to break stachyose; it is fermented in the large intestine, producing gas - Enzyme Supplement: Alpha-galactosidase (Beano) can cleave stachyose, making it digestible 
Classification of Carbohydrates
Carbohydrates are classified based on their complexity and structure.
Type | Structure | Examples |
|---|---|---|
Monosaccharides | Single sugar unit | Glucose, Fructose, Galactose |
Disaccharides | Two sugar units | Sucrose, Lactose, Maltose |
Oligosaccharides | 3-10 sugar units | Raffinose, Stachyose |
Polysaccharides | Hundreds to thousands of sugar units | Starch, Glycogen, Cellulose |

Summary Table: Starch, Glycogen, and Fiber
Type | Structure | Source | Digestibility |
|---|---|---|---|
Starch | Amylose (straight), Amylopectin (branched) | Plants (grains, legumes, tubers) | Digestible |
Glycogen | Highly branched | Animals (liver, muscle) | Digestible |
Fiber | Stacked, hydrogen-bonded chains | Plants (cell walls, bran) | Indigestible |

Key Terms and Concepts
- Polysaccharide: Large carbohydrate molecule made of many monosaccharides - Glycosidic Bond: The linkage between sugar units in carbohydrates - Resistant Starch: Starch that resists digestion and acts as fiber - Fermentation: Breakdown of indigestible carbohydrates by gut bacteria, producing gases and short-chain fatty acids
Equations and Chemical Structures
- General formula for polysaccharides: - Glycosidic bond formation:
Applications and Examples
- Dietary Importance: Complex carbohydrates provide sustained energy, support digestive health, and contribute to satiety. - Food Sources: Whole grains, legumes, fruits, vegetables, and tubers are rich in complex carbohydrates. Additional info: Resistant starch and fiber are important for gut health, as they promote beneficial bacterial growth and regular bowel movements. ----------------------------------------