BackChapter 8: Equilibrium and Elasticity – Structured Study Notes
Study Guide - Smart Notes
Tailored notes based on your materials, expanded with key definitions, examples, and context.
Equilibrium and Elasticity
Physics Glossary
Equilibrium: A state in which the net force and net torque on an object are zero.
Elasticity: The property of a material to return to its original shape after being deformed.
Hooke’s Law: The relationship between the restoring force and displacement in elastic systems.
Restoring Force: A force that acts to return a system to equilibrium.
Young’s Modulus: A measure of the stiffness of a material in response to stretching or compressing.
Shear Modulus: A measure of a material's response to shear stress.
Bulk Modulus: A measure of a material's response to uniform compression.
Torque and Static Equilibrium
Conditions for Equilibrium
Static equilibrium occurs when an object is at rest and the net force and net torque acting on it are zero. For point-like particles, only the net force needs to be zero. For extended objects, both net force and net torque must be zero.
Net Force: The vector sum of all external forces acting on an object.
Net Torque: The sum of all torques due to external forces about a pivot point.
Static Equilibrium: Achieved when and .
Example: A cyclist balancing on a bike must have both net force and net torque equal to zero to remain upright.




Quick Check: Static Equilibrium
Which objects are in static equilibrium? Only those with both net force and net torque equal to zero.


Example: Lifting a Load
In a strongman competition, a beam is used to lift a heavy bucket. The forces and torques must be analyzed to determine the force required by the man and the force at the pivot.
Force of the bucket:
Torque equation:
Force at the pivot:
Application: This example demonstrates the importance of both force and torque in maintaining equilibrium.



Stability and Balance
Center of Gravity and Base of Support
Stability is the ability of an object to maintain its balance after being disturbed. The center of gravity is crucial for stability; a wider base and lower center of gravity improve stability.
Stable Equilibrium: Center of gravity remains over the base of support.
Unstable Equilibrium: Center of gravity moves outside the base of support.
Critical Angle: The angle at which the center of gravity is directly over the pivot.


Critical Angle Formula
The critical angle for stability depends on the track width and the height of the center of gravity:
Formula:
Application: Used in vehicle safety to assess rollover risk.


Example: Balancing a Seesaw
To balance a seesaw, the torques due to the weights of the people and the plank must sum to zero. The normal force at the pivot supports the total weight.
Torque equation:
Normal force:

Example: Ladder in Equilibrium
A ladder resting against a wall is analyzed for equilibrium. The coefficient of static friction is found using force and torque balance.
Force balance: ,
Torque balance:
Coefficient of friction:

Springs and Hooke’s Law
Restoring Force and Elastic Systems
Elastic systems, such as springs, exhibit restoring forces that obey Hooke’s Law. The force is proportional to the displacement and directed toward equilibrium.
Hooke’s Law:
Spring constant: measures stiffness (units: N/m).
Restoring force: Always acts opposite to displacement.




Spring Constant Comparison
The spring with the steepest slope in a force vs. displacement graph has the largest spring constant.


Simple Harmonic Motion
Simple harmonic motion occurs when the net force is proportional to displacement and directed toward equilibrium. The motion of a spring-mass system is a classic example.
Acceleration:
Amplitude (A): Maximum displacement from equilibrium.
Period (T): Time for one complete cycle.
Frequency (f): Number of cycles per second ().
Angular frequency ():


Example: Spring-Mass System
Force and acceleration at various positions are calculated using Hooke’s Law and Newton’s second law.
Force:
Acceleration:

Example: Mass on a Vertical Spring
When a mass is attached to a vertical spring, the equilibrium position is found by balancing the spring force and gravity. Adding a second spring in parallel increases the effective spring constant.
Equilibrium:
Effective spring constant:

Stretching and Compressing Materials
Elastic Deformation and Moduli
All objects deform under force. For small stresses, deformation is proportional to applied force. The elastic modulus quantifies this relationship.
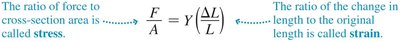
Stress: Force per unit area ( or Pa).
Strain: Relative deformation (dimensionless).
Elastic modulus: Ratio of stress to strain.
Young’s modulus (Y): For stretching/compressing.
Shear modulus (S): For shape changes.
Bulk modulus (B): For volume changes.


Young’s Modulus and Tensile Stress
Young’s modulus relates the force, area, and change in length for a rod:
Formula:
Tensile stress:
Tensile strain:


Elastic Limit and Ultimate Strength
Materials obey Hooke’s law up to the elastic limit. Beyond this, deformation becomes permanent. The ultimate strength is the maximum stress before breaking.
Elastic limit: End of linear region; material returns to original shape if stress is removed.
Ultimate strength: Maximum stress before breaking.
Breaking point: Material fails and cannot recover.


Shear and Bulk Modulus
Shear Modulus
Shear modulus characterizes resistance to shape changes. Shear stress is the force parallel to a face divided by area; shear strain is the ratio of displacement to height.
Shear stress:
Shear strain:
Shear modulus:
Formula:
Bulk Modulus
Bulk modulus characterizes resistance to uniform compression. Volume stress is the change in pressure; volume strain is the change in volume relative to original volume.
Bulk modulus:
Formula:
Compressibility: Reciprocal of bulk modulus.
Summary Table: Young’s Modulus for Rigid Materials
Material | Young’s Modulus ( N/m) |
|---|---|
Cast iron | 20 |
Steel | 20 |
Silicon | 13 |
Copper | 11 |
Aluminum | 7 |
Glass | 7 |
Concrete | 3 |
Wood (Douglas Fir) | 1 |
Quick Checks and Examples
Apply equilibrium conditions to various scenarios (seesaw, ladder, spring-mass system).
Compare material properties using Young’s modulus and stress-strain graphs.
Additional info: Academic context and formulas have been expanded for clarity and completeness. All images included are directly relevant to the adjacent explanations.