BackElectric Charge and Electric Field: Fundamental Concepts and Applications
Study Guide - Smart Notes
Tailored notes based on your materials, expanded with key definitions, examples, and context.
Electric Charge and Electric Field
Introduction to Electricity and Electrostatics
Electricity is a fundamental aspect of modern life, underlying countless technologies and natural phenomena. The study of electrostatics focuses on the interactions between electric charges at rest.
Electrostatics deals with stationary or slow-moving electric charges.
Everyday demonstrations, such as rubbing plastic rods with fur or glass rods with silk, reveal the basic properties of electric charge.

Nature and Types of Electric Charge
Experiments show that there are two types of electric charge: positive and negative. Like charges repel, and unlike charges attract.
Rubbing a plastic rod with fur gives it a negative charge.
Rubbing a glass rod with silk gives it a positive charge.
Charged plastic rods repel each other; charged glass rods repel each other; a charged plastic rod attracts a charged glass rod.



Atomic Structure and Charge
Atoms consist of a nucleus (protons and neutrons) surrounded by electrons. The balance of protons and electrons determines the atom's net charge.
Protons: Positively charged particles in the nucleus.
Neutrons: Electrically neutral particles in the nucleus.
Electrons: Negatively charged particles in orbitals around the nucleus.
A neutral atom has equal numbers of protons and electrons.


Ions: Charged Atoms
Positive ion (cation): Atom with one or more electrons removed.
Negative ion (anion): Atom with one or more extra electrons.


Conservation and Quantization of Charge
Electric charge is a conserved and quantized property of matter.
The elementary charge (e) is the magnitude of charge on a single proton or electron:

Conservation of charge: The total electric charge in a closed system remains constant.
All observable charge is an integer multiple of the elementary charge.
Conductors and Insulators
Materials differ in their ability to allow electric charge to move.
Conductors: Materials (e.g., copper) that allow charges to move freely.
Insulators: Materials (e.g., nylon) that do not allow charges to move easily.

Charging by Induction
Objects can be charged without direct contact through a process called induction.
Induction involves rearranging charges in a neutral object by bringing a charged object nearby, then grounding the neutral object to allow charge transfer.


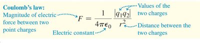
Coulomb’s Law
Statement and Mathematical Formulation
Coulomb’s Law quantifies the electric force between two point charges.
The force is directly proportional to the product of the charges and inversely proportional to the square of the distance between them.


(permittivity of free space)

Direction of Electric Forces
Like charges repel; opposite charges attract.
The force acts along the line joining the two charges.

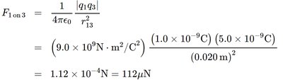
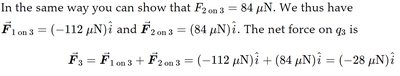
Examples Using Coulomb’s Law
Worked examples illustrate the application of Coulomb’s Law to systems of point charges.
Calculate the net force on a charge due to multiple other charges by vector addition of individual forces.




Electric Field
Definition and Concept
An electric field is a region of space around a charged object where other charges experience a force.
The electric field at a point is defined as the force per unit positive test charge at that point:

The SI unit of electric field is newton per coulomb (N/C).

Electric Field Due to Point Charges
A point charge produces an electric field at a distance given by:
The field points away from positive charges and toward negative charges.
The field strength decreases with the square of the distance from the charge.
Superposition Principle
The total electric field at a point due to multiple charges is the vector sum of the fields produced by each charge individually.
For point charges:
Electric Field Lines
Electric field lines are a visual tool to represent the direction and strength of electric fields.
Field lines point away from positive charges and toward negative charges.
The density of lines indicates the field's magnitude.
Field lines never cross.
Electric Dipole
An electric dipole consists of two equal and opposite charges separated by a distance. Water molecules are a common example of electric dipoles.
In a uniform electric field, a dipole experiences zero net force but a net torque, causing it to align with the field.
Summary Table: Key Concepts
Concept | Definition | Key Equation | SI Unit |
|---|---|---|---|
Electric Charge | Property of matter causing electrical phenomena | Coulomb (C) | |
Coulomb's Law | Force between two point charges | Newton (N) | |
Electric Field | Force per unit charge | Newton per coulomb (N/C) | |
Electric Dipole | Pair of equal and opposite charges | C·m |
Additional info: Some images and equations were inferred to provide a complete and academically rigorous summary of the main concepts in electric charge and electric field, as covered in a typical introductory physics course.