BackElectrostatics: Charge, Coulomb’s Law, and Electric Fields
Study Guide - Smart Notes
Tailored notes based on your materials, expanded with key definitions, examples, and context.
Electrostatics
Introduction to Charge
Electrostatics is the study of electric charges at rest. The concept of charge is fundamental to understanding electric forces and fields.
Charge is a basic property of elementary particles such as electrons and protons. It can be positive or negative and occurs in discrete (whole number) units.
Electrons carry a negative charge, while protons carry a positive charge. Neutrons are electrically neutral.
Atoms are composed of a nucleus (containing protons and neutrons) surrounded by electrons.


When an atom loses or gains electrons, it becomes an ion. Loss of electrons results in a positive ion (cation), while gain of electrons results in a negative ion (anion).

The law of conservation of charge states that the net amount of charge produced in any transfer process is zero; charge is neither created nor destroyed.

Measurement of Charge
Electric charge is measured in coulombs (C). One coulomb is the charge on approximately elementary charges (electrons or protons).
The elementary charge () is the magnitude of the charge carried by a single electron or proton: C.


Coulomb’s Law
Coulomb’s Law describes the force between two point charges. Like charges repel, and unlike charges attract. The magnitude of the force is proportional to the product of the charges and inversely proportional to the square of the distance between them.
The mathematical form of Coulomb’s Law is:
Where is the force (N), and are the charges (C), is the distance between the charges (m), is the permittivity of free space ( C2N-1m-2), and N·m2/C2.


The force acts along the line joining the two charges and is equal in magnitude and opposite in direction for each charge (Newton’s Third Law).
Worked Example: Coulomb’s Law
Consider two charges, and , separated by cm. The force between them is:

For systems with more than two charges, calculate the force on each charge due to every other charge, then use vector addition to find the net force.

Electric Fields
An electric field is a region of space near an electrically charged particle or object within which a force would be exerted on other electrically charged particles or objects.
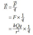
The electric field strength () at a point is defined as the force per unit charge on a positive test charge placed at that point:
For a point charge, the electric field strength is:

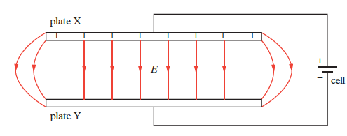
Electric field lines indicate the direction and strength of the field. They point away from positive charges and toward negative charges.
Field lines never cross and are denser where the field is stronger.

A uniform electric field has constant field strength, as found between charged parallel plates.

Applications and Problem Solving
To solve problems involving electric forces and fields:
Identify all charges and their positions.
Calculate the force between each pair using Coulomb’s Law.
Use vector addition to find the net force if multiple charges are involved.
For electric fields, use or as appropriate.

Summary Table: Key Concepts in Electrostatics
Concept | Definition | Formula | SI Unit |
|---|---|---|---|
Charge | Property of matter causing electric force | - | Coulomb (C) |
Elementary charge | Charge of one electron/proton | C | |
Coulomb’s Law | Force between two point charges | Newton (N) | |
Electric field strength | Force per unit charge | or | N/C |
Uniform electric field | Constant field between plates | N/C |
Additional info:
Conventional current is defined as the flow of positive charge.
Potential difference (voltage) is measured in volts (V).
Electric field lines are a useful visualization tool for understanding field direction and strength.