BackFluid Dynamics: Flow Rate, Continuity, Bernoulli’s Principle, Viscosity, and Surface Tension
Study Guide - Smart Notes
Tailored notes based on your materials, expanded with key definitions, examples, and context.
Fluid Dynamics
Introduction to Fluid Dynamics
Fluid dynamics is the branch of physics concerned with the movement of liquids and gases. It explores how fluids flow, the forces involved, and the resulting pressure and velocity changes. Understanding fluid dynamics is essential for applications in engineering, meteorology, medicine, and natural sciences.
Flow Rate
Definition and Formula
The flow rate is the volume of fluid passing through a given area per unit time. It is a fundamental quantity in fluid dynamics, describing how much fluid moves through a system.
Mathematical Definition: The flow rate is given by:
Where is the volume and is the time interval.
For a fluid moving with velocity through a cross-sectional area :
Example: The flow rate of a river increases if the velocity of the river increases, assuming the cross-sectional area remains constant.

Equation of Continuity
Conservation of Mass in Fluid Flow
The equation of continuity expresses the conservation of mass for incompressible fluids. It states that the amount of fluid entering a pipe must equal the amount leaving, provided the fluid is incompressible and there are no leaks.
Mathematical Form:
Where and are the cross-sectional areas at two points, and and are the corresponding fluid velocities.
This equation shows that if the area decreases, the velocity must increase to maintain the same flow rate.
Example: Water flowing from a wide hose into a narrow nozzle speeds up as it exits the nozzle.

Sample Problem: Fire Hose and Nozzle
Given: Water travels through a 9.8 cm diameter fire hose at 1.5 m/s. At the nozzle (2.6 cm diameter), what is the speed?
Apply the continuity equation to solve for the unknown velocity.

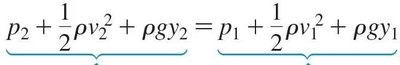
Bernoulli’s Principle
Relationship Between Pressure and Velocity
Bernoulli’s Principle states that for an incompressible, non-viscous fluid, an increase in the speed of the fluid results in a decrease in pressure or potential energy of the fluid. This principle is a statement of the conservation of energy for flowing fluids.
Bernoulli’s Equation:
Where is pressure, is fluid density, is velocity, is acceleration due to gravity, and is height above a reference point.
Between two points (1 and 2):
Key Point: As the speed of a moving fluid increases, the pressure decreases.
Example: The pressure in a nozzle is less than in the rest of the hose due to higher velocity.

Application Example: Sump Pump
A sump pump drains water at a rate of 0.00075 m³/s with an output pressure of 3.005 N/m². Water enters a hose (3 cm diameter) and rises 2.50 m above the pump. Bernoulli’s equation can be used to find the pressure at the higher point.

Viscosity
Internal Friction in Fluids
Viscosity is a measure of a fluid’s resistance to flow. It arises from internal friction between layers of the fluid as they move past each other.
In a viscous fluid, the velocity is maximum at the center of a tube and zero at the walls (no-slip condition).
In an ideal (non-viscous) fluid, the velocity is the same at all points in the tube.


Surface Tension
Cohesive Forces at the Surface of a Liquid
Surface tension is the tendency of the surface of a liquid to contract and behave like a stretched elastic membrane. It is caused by cohesive forces between molecules at the surface of the liquid.
Molecules at the surface experience a net inward force, pulling them toward the interior.
This effect is responsible for phenomena such as water droplets forming spherical shapes and the ability of small insects to walk on water.

Summary Table: Key Equations in Fluid Dynamics
Concept | Equation | Description |
|---|---|---|
Flow Rate | Volume of fluid per unit time | |
Continuity Equation | Conservation of mass for incompressible fluids | |
Bernoulli’s Equation | Conservation of energy in fluid flow |