BackFluid Mechanics, Forces, and Material Properties: Essential Physics Concepts
Study Guide - Smart Notes
Tailored notes based on your materials, expanded with key definitions, examples, and context.
Fluid Mechanics
Continuity Equation and Fluid Flow
Fluid mechanics studies the behavior of fluids (liquids and gases) at rest and in motion. The continuity equation expresses the conservation of mass in fluid flow, stating that the mass flow rate must remain constant from one cross-section of a pipe to another, provided the fluid is incompressible and the flow is steady.
Continuity Equation: For incompressible fluids, the product of cross-sectional area (A) and velocity (v) is constant:
Physical Meaning: If a pipe narrows (smaller area), the fluid speeds up; if it widens, the fluid slows down.
Application: Used in engineering to design piping systems and analyze fluid transport.

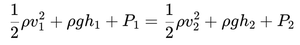
Bernoulli's Principle
Bernoulli's principle relates the pressure, velocity, and height in a moving fluid, stating that the total mechanical energy along a streamline is constant (for steady, incompressible, non-viscous flow).
Bernoulli's Equation:
Terms:
– Kinetic energy per unit volume
– Potential energy per unit volume
– Pressure energy
Key Concept: If one term increases (e.g., velocity), another must decrease (e.g., pressure), explaining phenomena like lift on airplane wings and pressure drops in fast-moving fluids.





Hydrostatics and Buoyancy
Hydrostatics deals with fluids at rest. The pressure in a fluid increases with depth, and objects submerged in fluids experience an upward buoyant force equal to the weight of the fluid displaced (Archimedes' Principle).
Pressure in Fluids: , where is force and is area.
Unit: Pascal (Pa), where
Buoyant Force:
Floating Condition: An object floats if its average density is less than the fluid's density.






Pascals's Principle
Pascal's Principle states that a change in pressure applied to an enclosed fluid is transmitted undiminished to all portions of the fluid and to the walls of its container. This principle is the basis for hydraulic systems.
Formula:
Application: Used in hydraulic lifts and brakes to amplify force.

Forces and Material Properties
Friction
Friction is a resistive force that opposes the relative motion between two surfaces in contact. The maximum static friction before sliding begins is given by .
μ: Coefficient of friction (dimensionless)
N: Normal force (perpendicular to surface)

Springs and Hooke's Law
Hooke's Law describes the behavior of springs and other elastic objects. The force required to stretch or compress a spring is proportional to the displacement from its equilibrium position.
Formula:
k: Spring constant (stiffness)
Δx: Extension or compression

Shear Modulus and Torsion
The shear modulus (G) describes a material's resistance to shear deformation (twisting). For a cylindrical rod under torque, the relationship is , where is torque, is the polar moment of area, is the angle of twist, and is the length.
Application: Important for shafts and rods in mechanical systems.


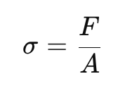
Stress and Strain
Stress and strain are fundamental concepts in material science, describing how materials deform under force.
Stress (σ): , force per unit area (Pa)
Strain (ε): , relative deformation (dimensionless)
Young's Modulus (E): Ratio of stress to strain in the elastic region, indicating material stiffness.




Torque and Work
Torque is the rotational equivalent of force, and work is the energy transferred by a force moving an object over a distance.
Torque (τ):
Work (W):


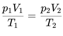
Gas Laws and Thermodynamics
Combined Gas Law
The combined gas law relates the pressure, volume, and temperature of a fixed amount of gas. It is essential to use absolute temperature (Kelvin) in calculations.
Formula:
Application: Used to predict the behavior of gases under changing conditions.


2D Modelling in Physics and Engineering
Symbols for 2D Modelling
In engineering and physics, 2D modelling uses standardized symbols to represent different types of joints, supports, and bodies in diagrams. These symbols are essential for analyzing forces, torques, and equilibrium in structures.
Rod, bar, beam: Represents a straight structural element.
Fixed joint: Prevents relative motion between connected parts.
Pin/hinge joint: Allows rotation but not translation.
Translation joint: Allows linear movement.
Fixed support: Prevents all movement.
Roller support: Allows movement in one direction only.
*Additional info: Some images and formulas were included to reinforce key concepts in fluid mechanics, material properties, and basic engineering modeling, as directly relevant to the physics curriculum.*