BackKinematics in One Dimension: Describing Motion
Study Guide - Smart Notes
Tailored notes based on your materials, expanded with key definitions, examples, and context.
Chapter 2: Describing Motion – Kinematics in One Dimension
Reference Frames and Displacement
Kinematics is the study of how objects move, focusing on their position, velocity, and acceleration with respect to a defined reference frame. All measurements of position, distance, or speed must be made relative to a reference frame, which is a coordinate system or viewpoint from which motion is observed.
Reference Frame: The perspective from which motion is measured. For example, a person walking inside a moving train has a different velocity relative to the train than to the ground.
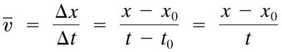
Displacement (\(\Delta x\)): The straight-line distance and direction from an object's initial position to its final position. Displacement is a vector quantity, meaning it has both magnitude and direction.
Distance: The total length of the path traveled, regardless of direction. Distance is a scalar quantity (only magnitude).


Formula for Displacement:


Average Velocity and Speed
Speed and velocity are both measures of how fast an object moves, but velocity also includes direction. Average velocity is defined as the displacement divided by the time interval, while average speed is the total distance traveled divided by the time interval.
Average Speed:
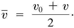
Average Velocity:


Instantaneous Velocity
Instantaneous velocity is the velocity of an object at a specific instant in time. It is defined as the limit of the average velocity as the time interval approaches zero.

On a velocity vs. time graph, a horizontal line indicates constant velocity, while a changing line indicates varying velocity.


Acceleration
Acceleration is the rate at which velocity changes with time. It is a vector quantity, but in one-dimensional motion, the sign indicates direction.
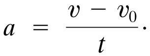
Average Acceleration:
Instantaneous Acceleration:




Deceleration refers to acceleration in the direction opposite to the velocity, causing the object to slow down.
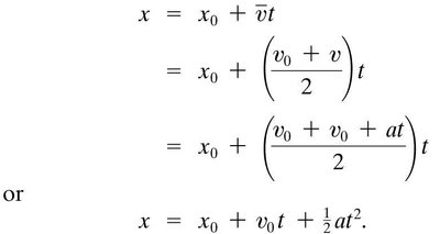
Equations of Motion for Constant Acceleration
When acceleration is constant, several useful equations describe the motion:





Solving Kinematics Problems
To solve kinematics problems, follow these steps:
Read the problem carefully and identify what is being asked.
Determine the objects involved and the time interval.
Draw a diagram and choose coordinate axes.
List known and unknown quantities.
Identify applicable physics principles and equations.
Solve algebraically, check units and dimensions.
Calculate the answer and round appropriately.
Check if the result is reasonable.
Freely Falling Objects
Near Earth's surface, all objects experience the same acceleration due to gravity (in the absence of air resistance), denoted as downward. This is a classic example of motion with constant acceleration.
All objects, regardless of mass, fall with the same acceleration if air resistance is negligible.
The equations of motion for constant acceleration apply, with (if upward is positive).



Summary Table: Key Kinematic Quantities
Quantity | Symbol | Definition | SI Unit |
|---|---|---|---|
Displacement | Change in position | meter (m) | |
Velocity | Rate of change of displacement | meter/second (m/s) | |
Acceleration | Rate of change of velocity | meter/second2 (m/s2) | |
Time | Duration of motion | second (s) |
Key Concepts and Applications
Reference frames are essential for describing motion accurately.
Displacement and distance are distinct: displacement is vectorial, distance is scalar.
Velocity and speed differ in that velocity includes direction.
Acceleration describes how velocity changes over time; negative acceleration does not always mean slowing down (it depends on the direction of velocity).
Freely falling objects provide a practical example of constant acceleration motion.