BackMotion in One Dimension: Kinematics and Free Fall
Study Guide - Smart Notes
Tailored notes based on your materials, expanded with key definitions, examples, and context.
Chapter 2: Motion in One Dimension
2.1 Describing Motion
Motion in physics is described using precise definitions and concepts to ensure clarity and accuracy. The study of motion is a fundamental part of mechanics, which is divided into statics (study of forces in equilibrium) and dynamics (study of motion and its causes). Kinematics, a branch of dynamics, focuses on describing motion without considering its causes.
Displacement: The change in position of an object, defined as .
Distance: The total length of the path traveled, regardless of direction.
Scalar: A quantity described by magnitude only (e.g., mass, speed).
Vector: A quantity described by both magnitude and direction (e.g., displacement, velocity, acceleration).
Motion Diagram: A visual representation of an object's position at successive time intervals, often including velocity and acceleration vectors.

Example: The motion of a car along a straight road can be represented using a motion diagram, showing its position at different times.

2.2 Uniform Motion
Uniform motion refers to motion at a constant velocity, meaning the object covers equal displacements in equal time intervals. In one-dimensional motion, this is typically along a straight line (x- or y-axis).
Frame of Reference: The coordinate system used to define position and measure motion.
Displacement Example: If a car moves from to , (positive direction). If it moves from to , (negative direction).

2.3 Instantaneous Velocity
Velocity describes the rate of change of displacement. Average velocity is the total displacement divided by the total time, while instantaneous velocity is the velocity at a specific instant.
Average Velocity:
Instantaneous Velocity:
The slope of a position-time graph at any point gives the instantaneous velocity.



2.4 Acceleration
Acceleration is the rate of change of velocity. It is a vector quantity and can be positive or negative depending on the direction of velocity change.
Average Acceleration:
Instantaneous Acceleration:
When velocity and acceleration are in the same direction, speed increases; when opposite, speed decreases.



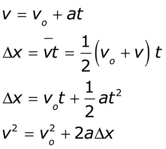
2.5 Motion with Constant Acceleration
When acceleration is constant, the kinematic equations can be used to solve for unknowns in motion problems. These equations relate displacement, velocity, acceleration, and time.
Kinematic Equations:





2.6 Solving One-Dimensional Motion Problems
To solve motion problems, identify known and unknown variables, select the appropriate kinematic equation, and solve algebraically. Problems may involve objects starting from rest, moving with initial velocity, or changing direction.
Example: A ball is thrown upward from a building. Use kinematic equations to find time to maximum height, maximum height, time to return, and final velocity.



2.7 Free Fall
Free fall describes the motion of objects under the influence of gravity alone, with acceleration downward. All objects, regardless of mass, experience the same acceleration in the absence of air resistance.
Free Fall Cases:
Object dropped: initial velocity is zero.
Object thrown downward: initial velocity is negative (if upward is positive).
Object thrown upward: initial velocity is positive; velocity at maximum height is zero.
Acceleration due to Gravity: (average at Earth's surface).
Air Resistance: Affects objects with large surface area and low mass, causing them to fall slower than denser objects.





Summary Table: Key Kinematic Quantities
Quantity | Definition | SI Unit |
|---|---|---|
Displacement () | Change in position | meter (m) |
Velocity () | Rate of change of displacement | meter/second (m/s) |
Acceleration () | Rate of change of velocity | meter/second2 (m/s2) |
Speed | Magnitude of velocity | meter/second (m/s) |
Free Fall Acceleration () | Acceleration due to gravity | 9.80 m/s2 |
Additional info: The notes above include expanded academic context and examples to ensure completeness and clarity for exam preparation.