BackPhysics Exam 2 Review: Newton's Laws, Friction, Work, Energy, and Momentum
Study Guide - Smart Notes
Tailored notes based on your materials, expanded with key definitions, examples, and context.
Newton's Laws of Motion
Newton's First, Second, and Third Laws
Newton's Laws of Motion are fundamental principles describing the relationship between the motion of an object and the forces acting upon it.
Newton's First Law (Law of Inertia): A body acted on by no net force moves with constant velocity (which may be zero) and zero acceleration.
Newton's Second Law: If a nonzero net external force acts on a body, it accelerates. The direction of acceleration is the same as the direction of the net force. Equation:
Newton's Third Law: If body A exerts a force on body B, then body B exerts a force on body A. These two forces have the same magnitude but are opposite in direction.
Example: When pushing a box, the box pushes back with equal and opposite force.
Equilibrium and Dynamic Situations
Problem-Solving Strategies
To analyze equilibrium and dynamic situations, follow a systematic approach:
Identify Concept: Determine which Newton's law applies.
Draw Sketch and Free Body Diagram: Visualize forces acting on each object.
Choose Coordinate Axes: Preferably perpendicular axes.
Find Force Components: Resolve each force along axes.
Set Up Equations: For equilibrium, set sum of forces to zero; for dynamics, set sum equal to .
Evaluate: Check if the solution makes physical sense.
Frictional Forces
Nature of Friction
Frictional forces act parallel to the surface when an object rests or slides on it. The friction and normal forces are components of a single contact force.
Normal Force: Acts perpendicular to the surface.
Friction Force: Acts parallel to the surface, opposing motion.

Kinetic and Static Friction
Friction can be classified as kinetic or static:
Kinetic Friction: Acts when an object slides over a surface.
Static Friction: Acts when there is no relative motion.
Example: A box at rest experiences static friction; once it moves, kinetic friction takes over.



Fluid Resistance and Terminal Speed
Air Drag and Terminal Velocity
Fluid resistance (air drag) depends on the speed of the object. A falling object reaches terminal speed when the resisting force equals its weight.
Terminal Speed: Occurs when (drag force equals weight).
Below Terminal Speed: Object accelerates downward.

Dynamics of Circular Motion
Uniform Circular Motion
In uniform circular motion, both acceleration and net force are directed toward the center of the circle (centripetal direction).
Centripetal Force:
Acceleration:

Car Rounding a Flat Curve
When a car rounds a flat curve, static friction provides the centripetal force. The maximum speed is determined by the coefficient of static friction.
Maximum Speed:

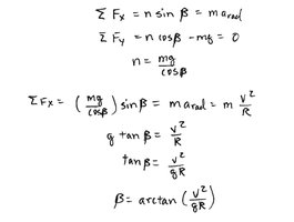
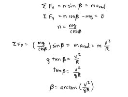
Banked Curves
Banking a curve allows a car to round it at a certain speed without relying on friction. The required banking angle is given by:


Work and Energy
Definition of Work
Work is the product of force, displacement, and the cosine of the angle between them. Force and displacement must be aligned for maximum work.
Formula:
SI Unit: Joule (J),

Sign of Work
Work can be positive, negative, or zero depending on the direction of force relative to displacement.
Positive Work: Force has a component in the direction of displacement.
Negative Work: Force has a component opposite to displacement.
Zero Work: Force is perpendicular to displacement.



Total Work and Work-Energy Theorem
The total work done by the net force on a particle is called total work . The work-energy theorem states that the work done on an object equals the change in its kinetic energy.
Work-Energy Theorem:
Kinetic Energy:
Springs and Elastic Potential Energy
Hooke's Law and Work Done by Springs
The force required to stretch or compress a spring is proportional to the displacement from equilibrium.
Hooke's Law:
Work Done:


Work Done by a Spring
Springs can do positive or negative work depending on whether they are stretched or compressed.


Work Along Curved Paths
Dot Product and Curved Path Work
When the path is curved, work is calculated using the dot product of force and displacement along the path.


Power
Definition and Formulas
Power is the rate at which work is done. It can be average or instantaneous.
Average Power:
Instantaneous Power:
SI Unit: Watt (W),


Gravitational Potential Energy
Definition and Change
Gravitational potential energy is associated with a particle in Earth's gravitational field.
Change in potential energy relates to work done by gravity.



Conservation of Mechanical Energy
Principle and Applications
The total mechanical energy (kinetic + potential) of a system is conserved when only gravity does work.
Conserved quantity: total mechanical energy remains constant.

When Other Forces Do Work
When forces other than gravity act, mechanical energy is not conserved. Work by nonconservative forces changes the total mechanical energy.

Momentum and Impulse
Definition of Momentum
Momentum is the product of mass and velocity, and is a vector quantity.
Units: kg·m/s

Impulse and Impulse-Momentum Theorem
Impulse is the change in momentum over a time interval. The impulse-momentum theorem relates impulse to the change in momentum.
Conservation of Momentum
Isolated Systems
In an isolated system (no net external force), total momentum is conserved.


Problem-Solving and Examples
Free-Body Diagrams and Equations
Drawing free-body diagrams and writing equations for conservation of momentum and energy are essential steps in solving physics problems.
Identify all forces acting on each object.
Write equations for net horizontal and vertical forces.
Apply conservation laws as appropriate.
