BackProjectile Motion: Motion in a Plane
Study Guide - Smart Notes
Tailored notes based on your materials, expanded with key definitions, examples, and context.
Projectile Motion in a Plane
Introduction to Projectile Motion
Projectile motion describes the motion of an object launched into the air and moving under the influence of gravity alone, with air resistance neglected. The path followed by a projectile is called its trajectory, which is typically a parabola in the absence of air resistance.
Projectile: Any object given an initial velocity and then allowed to move under the influence of gravity.
Trajectory: The curved path followed by a projectile.
Key Assumptions: Air resistance is neglected, and the effects of Earth's curvature and rotation are ignored.

Separation of Motion: Horizontal and Vertical Components
The motion of a projectile can be separated into two independent components: horizontal (x-direction) and vertical (y-direction). The horizontal motion occurs at constant velocity, while the vertical motion is uniformly accelerated due to gravity.
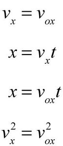
Horizontal motion: Constant velocity, no acceleration ().
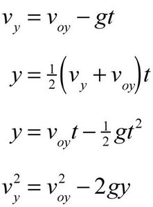
Vertical motion: Constant acceleration downward ().

Kinematic Equations for Projectile Motion
The following equations describe the position and velocity of a projectile at any time t:
Horizontal (x-direction):
Vertical (y-direction):


Vector Components and Initial Conditions
The initial velocity vector can be resolved into horizontal and vertical components using trigonometry:

Summary Table of Kinematic Equations
The table below summarizes the main kinematic equations used for projectile motion, indicating which quantities are included in each equation.
Equation | Includes Quantities |
|---|---|

Applications and Examples
Projectile Launched Horizontally
When a projectile is launched horizontally from a certain height, its initial vertical velocity is zero (), and its horizontal velocity is constant. The time to hit the ground depends only on the initial height and gravity.
Example: A paintball is fired horizontally at 75 m/s from a height of 1.5 m. Find (a) the time in the air, and (b) the horizontal range.
Solution:
Vertical motion: ; set to solve for .
Horizontal range: .

Projectile Launched at an Angle
When a projectile is launched at an angle above the horizontal, both and are nonzero. The maximum height, time of flight, and range can be calculated using the kinematic equations.
Maximum height: Occurs when .
Time to maximum height:
Total time of flight: (if landing at same vertical level as launch)
Range:

Example: Baseball Home Run
A baseball is hit with an initial speed of 37 m/s at an angle of . Find (a) the position and velocity at s, (b) the time and height at the highest point, and (c) the horizontal range.
Given: m/s,
Components: m/s, m/s
At s:
m
m
m/s (constant)
m/s
Speed: m/s
Direction:
At maximum height:
s
m
Range:
Total time: s
m

Special Applications: Shoot the Monkey
Relative Motion and Gravity
The "Shoot the Monkey" demonstration illustrates that a projectile and a dropped object, released at the same instant, will both fall the same vertical distance in the same time, regardless of the horizontal velocity of the projectile. This is a direct consequence of the independence of horizontal and vertical motions.
Key Point: Both objects experience the same vertical acceleration due to gravity.
Application: Predicting where to aim to hit a falling target.

Summary Table: Kinematic Equations for Constant Acceleration
Equation | Includes Quantities |
|---|---|

Additional info: These notes cover the core concepts of projectile motion, including the separation of motion into horizontal and vertical components, the use of kinematic equations, and practical examples. The "Shoot the Monkey" demonstration is a classic illustration of the independence of horizontal and vertical motions in projectile motion.