BackStep-by-Step Guidance for Circuit Analysis and Resistance Calculation
Study Guide - Smart Notes
Tailored notes based on your materials, expanded with key definitions, examples, and context.
Q2. Circuit Analysis and Resistance Calculation
Background
Topic: DC Circuits – Series and Parallel Resistors, Ohm’s Law, Power Dissipation, and Resistivity
This question tests your understanding of how to find equivalent resistance in a complex circuit, calculate current and power in specific resistors, and apply the resistivity formula to determine the resistance of a wire.
Key Terms and Formulas
Ohm’s Law:
Power Dissipated: or
Resistors in Series:
Resistors in Parallel:
Resistivity Formula: , where is resistivity, is length, is cross-sectional area

Step-by-Step Guidance
Equivalent Resistance (a): - Identify which resistors are in series and which are in parallel. - Combine the parallel resistors first using , then add the series resistors.
Current through (b): - Once you have the equivalent resistance, use Ohm’s Law to find the total current from the battery: . - Use current division to find the current through .
Power Dissipated by (c): - Use the current found in the previous step and the formula to set up the calculation for power dissipated by .
Resistance of Copper Wire (d): - Use the resistivity formula , where , m, and with mm. - Convert all units to SI (meters, square meters).

Try solving on your own before revealing the answer!
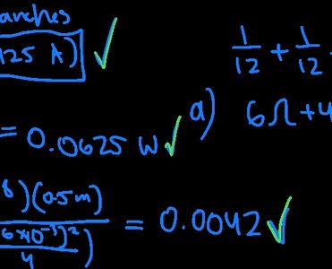
Final Answers:
a.) 10
b.) 0.125 A
c.) 0.0625 W
d.) 0.0042
These results use the correct formulas for series/parallel resistors, Ohm's Law, power, and resistivity. The wire's resistance is much smaller than the other resistors, justifying the usual assumption to ignore it.