BackChapter 3: Numerically Summarizing Data – Study Guide
Study Guide - Smart Notes
Tailored notes based on your materials, expanded with key definitions, examples, and context.
Measures of Central Tendency
Arithmetic Mean
The arithmetic mean is a measure of central tendency that represents the average value of a variable in a data set. It is calculated by summing all values and dividing by the number of observations.
Population Mean (μ): Uses all individuals in a population and is considered a parameter.
Sample Mean (\(\bar{x}\)): Uses a subset (sample) of the population and is considered a statistic.
Formula:

Example: Exam scores of 10 students can be used to compute both population and sample means.

To find the sample mean, select a random sample and apply the formula above.

Median
The median is the value that lies in the middle of the data when arranged in ascending order. It divides the data into two equal halves.
Steps to Find Median:
Arrange data in ascending order.
Determine the number of observations, n.
If n is odd, median is the value at position .
If n is even, median is the mean of values at positions and .

Example: Median length of songs released in the 1970s.

Resistance of Statistics
A statistic is resistant if extreme values (outliers) do not affect its value substantially. The median is resistant, while the mean is not.
Example: Comparing mean and median for cell phone call lengths.


For skewed distributions, the median is a better measure of central tendency.

Example: Birth weights of babies – mean and median are close, indicating a bell-shaped distribution.



Mode
The mode is the most frequent observation in a data set. Data can have no mode, one mode, or multiple modes.
Example: Number of O-ring failures on space shuttle flights.
Mode is 0, as it occurs most frequently.
Comparison Table: Measures of Central Tendency
Measure | Computation | Interpretation | When to Use |
|---|---|---|---|
Mean | Population: Sample: | Center of Gravity | Quantitative, symmetric distribution |
Median | Arrange data, divide in half | Divides bottom 50% from top 50% | Quantitative, skewed distribution |
Mode | Tally most frequent observation | Most frequent observation | Qualitative or when mode is desired |

Measures of Dispersion
Range
The range is the difference between the largest and smallest data values.
Formula:
Example: Exam scores: points
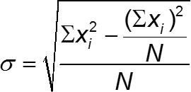
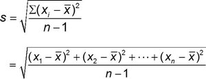
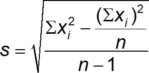
Standard Deviation
The standard deviation measures the spread of data values around the mean.
Population Standard Deviation (σ):

Computational formula:

Example: Calculating standard deviation for exam scores.


Sample Standard Deviation (s):

Computational formula:

Example: Calculating sample standard deviation for a random sample.


Comparison: Standard deviation is larger for University A (16.1) than for University B (8.4), indicating more dispersion in University A.

Variance
The variance is the square of the standard deviation.
Population Variance:
Sample Variance:
Example: If , then ; if , then
Empirical Rule (Bell-Shaped Distributions)
The Empirical Rule describes the spread of data in a bell-shaped (normal) distribution:
68% of data within 1 standard deviation of the mean
95% within 2 standard deviations
99.7% within 3 standard deviations


Chebyshev’s Inequality
Chebyshev’s Inequality applies to any data set, regardless of shape. It states that at least of the data lies within k standard deviations of the mean, for .

Grouped Data: Central Tendency and Dispersion
Mean from Grouped Data
When only grouped data (frequency distributions) are available, the mean can be approximated using class midpoints and frequencies.

Standard Deviation from Grouped Data
Standard deviation can also be approximated from grouped data using midpoints and frequencies.

Computational formula:

Example: Parking and camera violation fines in NYC.

Measures of Position and Outliers
z-Scores
A z-score measures how many standard deviations a data value is from the mean.
Population z-score:
Sample z-score:

Percentiles
The kth percentile is the value below which k percent of the data falls.

Quartiles
Quartiles divide data into four equal parts:
Q1: 25th percentile
Q2: 50th percentile (median)
Q3: 75th percentile

Interquartile Range (IQR)
The interquartile range is the range of the middle 50% of the data:
Outliers
To check for outliers:
Compute lower fence:
Compute upper fence:
Values outside these fences are outliers.
Five-Number Summary and Boxplots
Five-Number Summary
The five-number summary consists of: minimum, Q1, median, Q3, maximum.
Boxplots
Boxplots visually display the five-number summary and identify outliers.
Draw a box from Q1 to Q3, with a line at the median.
Whiskers extend to the smallest and largest values within the fences.
Outliers are marked with asterisks.

Boxplots and quartiles can be used to describe the shape of a distribution.
