BackChapter 10: Gases – Properties, Laws, and Theories
Study Guide - Smart Notes
Tailored notes based on your materials, expanded with key definitions, examples, and context.
Gases: Characteristics and Properties
Physical Properties of Gases
Gases are a unique state of matter with properties distinct from solids and liquids. They are composed mainly of nonmetallic elements with simple formulas and low molar masses. Gases expand to fill their containers, are highly compressible, and have extremely low densities. When mixed, gases form homogeneous mixtures regardless of their identities.
Variables Defining the State of a Gas
The state of a gas sample is defined by four main variables:
Temperature (T)
Pressure (P)
Volume (V)
Amount of gas (n, in moles)
Pressure is a key variable, defined as the amount of force applied to a given area.

Pressure and Its Measurement
Definition and Units of Pressure
Pressure (P) is defined mathematically as:
where F is force and A is area. Atmospheric pressure is the weight of air per unit area at Earth's surface.
Common Units of Pressure
Pascals (Pa): SI unit, 1 Pa = 1 N/m2
Bar: 1 bar = 105 Pa = 100 kPa
mm Hg or torr: Based on the height difference in a mercury barometer
Atmosphere (atm): 1 atm = 760 torr = 760 mm Hg = 101.325 kPa

Standard Atmospheric Pressure
Standard atmospheric pressure at sea level is defined as:
1.00 atm
760 torr (or 760 mm Hg)
101.325 kPa
Gas Laws
Boyle’s Law
Boyle’s Law states that the volume of a fixed quantity of gas at constant temperature is inversely proportional to the pressure:
A graph of V vs. P is not linear, but V vs. 1/P is linear.


Charles’s Law
Charles’s Law states that the volume of a fixed amount of gas at constant pressure is directly proportional to its absolute temperature:
A graph of V vs. T (in °C) is linear and extrapolates to zero at -273°C (absolute zero).

Avogadro’s Law
Avogadro’s Law states that the volume of a gas at constant temperature and pressure is directly proportional to the number of moles of the gas:
At standard temperature and pressure (STP), one mole of any ideal gas occupies 22.4 L.

The Ideal Gas Law
The three laws above can be combined into the Ideal Gas Law:
where R is the gas constant (0.0821 L·atm·mol-1·K-1).
Applications of the Ideal Gas Law
Density and Molar Mass of Gases
The density (d) of a gas can be derived from the ideal gas law:
where M is the molar mass. If the mass, volume, and temperature are known, the molar mass can be calculated:
Gas Stoichiometry
The ideal gas law can be used to relate the volumes of gases involved in chemical reactions, using balanced equations and mole ratios.
Mixtures of Gases
Dalton’s Law of Partial Pressures
Dalton’s Law states that the total pressure of a mixture of non-reacting gases is the sum of the partial pressures of each gas:
Mole Fraction and Partial Pressure
The mole fraction (χ) of a component in a mixture is the ratio of its moles to the total moles. The partial pressure of a gas is related to its mole fraction:


Kinetic-Molecular Theory of Gases
Main Tenets
Gases consist of large numbers of molecules in continuous, random motion.
The combined volume of all molecules is negligible compared to the container volume.
Attractive and repulsive forces between molecules are negligible.
Energy can be transferred during collisions, but average kinetic energy remains constant at constant temperature.
Average kinetic energy is proportional to absolute temperature.

Molecular Speeds and Temperature
At a given temperature, gas molecules have a distribution of speeds. The most probable speed (ump), average speed (uav), and root-mean-square speed (urms) are key descriptors.


Effect of Molar Mass on Speed
At the same temperature, lighter gas molecules move faster than heavier ones.

Effusion and Diffusion
Definitions
Effusion: Escape of gas molecules through a tiny hole into an evacuated space.
Diffusion: Spread of one substance throughout a space or another substance.


Graham’s Law of Effusion
Graham’s Law relates the rates of effusion (or diffusion) of two gases to their molar masses:

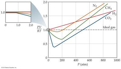
Real Gases and Deviations from Ideal Behavior
Deviations from Ideal Gas Law
Real gases deviate from ideal behavior at high pressures and low temperatures, where the assumptions of negligible volume and no intermolecular forces break down.



van der Waals Equation
The van der Waals equation introduces corrections for intermolecular attractions (a) and molecular volume (b):


Table: van der Waals Constants
Substance | a (L2·atm/mol2) | b (L/mol) |
|---|---|---|
He | 0.0341 | 0.02370 |
Ne | 0.211 | 0.0171 |
Ar | 1.34 | 0.0322 |
Kr | 2.32 | 0.0398 |
Xe | 4.19 | 0.0510 |
H2 | 0.244 | 0.0266 |
N2 | 1.39 | 0.0391 |
O2 | 1.36 | 0.0318 |
F2 | 1.12 | 0.0305 |
Cl2 | 6.49 | 0.0562 |
H2O | 5.46 | 0.0305 |
NH3 | 4.17 | 0.0371 |
CH4 | 2.25 | 0.0428 |
CO2 | 3.59 | 0.0427 |
CCl4 | 20.4 | 0.1383 |