BackChapter 6: Electronic Structure of Atoms – Mini-Textbook Study Notes
Study Guide - Smart Notes
Tailored notes based on your materials, expanded with key definitions, examples, and context.
Electronic Structure of Atoms
Terminology and Fundamental Concepts
The electronic structure of atoms is governed by the behavior of electrons and their interaction with electromagnetic radiation. Understanding key terms is essential for mastering this topic.
Frequency (v): The number of cycles (waves) passing a point per second, measured in hertz (Hz).
Wavelength (λ): The distance between two consecutive wave peaks or troughs, measured in nanometers (nm).
Electromagnetic spectrum: The range of all types of electromagnetic radiation, arranged by increasing wavelength.
Blackbody radiation: Light emission from hot objects.
Photoelectric effect: Ejection of electrons from metal surfaces when illuminated by light.
Emission spectra: Light emitted from excited gas atoms, showing discrete wavelengths.
Quantum: The smallest unit of energy that can be absorbed or emitted as electromagnetic radiation.
Valence electrons: Electrons in the outermost shell, involved in chemical reactions.
Pauli Exclusion Principle: No two electrons in the same atom can have identical sets of four quantum numbers.
The Wave Nature of Light
Electromagnetic radiation, or light, exhibits wave-like properties characterized by wavelength and frequency. These properties are fundamental to understanding atomic structure.
Wavelength (λ): Measured in nanometers (1 nm = 1 × 10-9 m).
Frequency (v): Measured in hertz (Hz), where 1 Hz = 1 s-1.
Speed of light (c): Light travels at 3.00 × 108 m/s in a vacuum.
Relationship: $c = \lambda v$

Electromagnetic Spectrum
The electromagnetic spectrum encompasses all forms of electromagnetic radiation, from gamma rays to radio waves. The visible region is a small part of this spectrum.
Gamma rays: Shortest wavelength, highest frequency.
Radio waves: Longest wavelength, lowest frequency.
Visible light: Wavelengths from about 400 nm (violet) to 750 nm (red).

Calculating Frequency from Wavelength
Frequency and wavelength are inversely related. The equation $v = \frac{c}{\lambda}$ allows calculation of frequency given wavelength.
Example: For a laser with λ = 640.0 nm, $v = \frac{3.00 \times 10^8 \text{ m/s}}{640.0 \text{ nm}} \times \frac{1 \text{ nm}}{10^{-9} \text{ m}} = 4.688 \times 10^{14} \text{ s}^{-1}$

Electronic Properties Not Explained by Waves
Some phenomena cannot be explained by the wave model of light, including blackbody radiation, the photoelectric effect, and emission spectra.
Blackbody radiation: Emission of light from heated objects.
Photoelectric effect: Ejection of electrons from metals by light.
Emission spectra: Discrete lines of light from excited atoms.
The Nature of Energy — Quanta
Energy is quantized, meaning it is absorbed or emitted in discrete packets called quanta. Max Planck introduced this concept to explain blackbody radiation.
Quantum: Smallest unit of energy for electromagnetic radiation.
Energy-frequency relationship: $E = hv$ (h = Planck's constant, 6.626 × 10-34 J·s)

The Photoelectric Effect
Einstein explained the photoelectric effect by proposing that light consists of photons, each carrying a quantum of energy. Electrons are ejected from metal surfaces when the photon energy exceeds a threshold.
Photon energy: $E = hv$
Alternate form: $E = \frac{hc}{\lambda}$

Atomic Emissions: Continuous vs. Line Spectra
Atoms emit light at specific wavelengths, producing line spectra rather than continuous spectra. Each element has a unique line spectrum.
Continuous spectrum: All wavelengths (rainbow).
Line spectrum: Discrete wavelengths unique to each element.

The Hydrogen Spectrum and the Bohr Model
The Bohr model explains the discrete lines in the hydrogen spectrum by quantizing electron orbits. Only certain energy levels are allowed, and transitions between them emit or absorb photons.
Energy levels: Electrons occupy specific orbits (n = 1, 2, 3, ...).
Ground state: Lowest energy level (n = 1).
Excited state: Higher energy levels (n > 1).
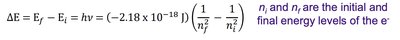
Energy transitions: $\Delta E = E_f - E_i = hv$
Absorption: $\Delta E > 0$ (photon absorbed, electron moves to higher n).
Emission: $\Delta E < 0$ (photon emitted, electron moves to lower n).

Bohr Model Equations
The energy and wavelength of transitions in hydrogen can be calculated using the Rydberg formula and energy equations.
Rydberg formula: $\frac{1}{\lambda} = R_H \left( \frac{1}{n_1^2} - \frac{1}{n_2^2} \right)$
Rydberg constant: $R_H = 1.09677 \times 10^7 \text{ m}^{-1}$
Energy change: $\Delta E = (-2.18 \times 10^{-18} \text{ J}) \left( \frac{1}{n_f^2} - \frac{1}{n_i^2} \right)$

Limitations and Benefits of the Bohr Model
The Bohr model is successful for hydrogen but fails for multi-electron atoms. It introduced the concept of quantized energy levels and quantum numbers.
Works only for hydrogen.
Electrons do not move in circular orbits.
Energy levels are quantized.
Quantum Numbers
Quantum numbers describe the properties of atomic orbitals and electrons. They arise from solutions to the Schrödinger equation.
Principal quantum number (n): Energy level, shell size.
Angular momentum quantum number (l): Subshell shape (s, p, d, f).
Magnetic quantum number (ml): Orbital orientation.
Spin quantum number (ms): Electron spin (+1/2 or -1/2).

Orbitals and Their Properties
Orbitals are regions of space where electrons are likely to be found. Each orbital is defined by quantum numbers and has a characteristic shape and orientation.
s orbitals: Spherical, one per energy level.
p orbitals: Dumbbell-shaped, three per energy level (px, py, pz).
d orbitals: Four-lobed, five per energy level.
f orbitals: Complex shapes, seven per energy level.
Nodes: Regions where the probability of finding an electron is zero; number of nodes increases with n.

Summary Table: Quantum Numbers and Orbitals
The following table summarizes the relationship between quantum numbers, subshells, and orbitals.
n | Possible Values of l | Subshell Designation | Possible Values of ml | Number of Orbitals in Subshell | Total Number of Orbitals in Shell |
|---|---|---|---|---|---|
1 | 0 | 1s | 0 | 1 | 1 |
2 | 0, 1 | 2s, 2p | 0; -1, 0, 1 | 1; 3 | 4 |
3 | 0, 1, 2 | 3s, 3p, 3d | 0; -1, 0, 1; -2, -1, 0, 1, 2 | 1; 3; 5 | 9 |
4 | 0, 1, 2, 3 | 4s, 4p, 4d, 4f | 0; -1, 0, 1; -2, -1, 0, 1, 2; -3, -2, -1, 0, 1, 2, 3 | 1; 3; 5; 7 | 16 |

Electron Configurations
Electron configuration describes the arrangement of electrons in an atom. The most stable configuration is the ground state, where electrons occupy the lowest available energy levels.
Notation: Number (n), letter (l), superscript (number of electrons): nl#
Example: Sodium (Na): 1s22s22p63s1

Orbital Diagrams and Hund's Rule
Orbital diagrams visually represent electron configurations. Hund's Rule states that electrons fill degenerate orbitals singly with parallel spins before pairing.
Each box: One orbital.
Half-arrows: Electrons, direction indicates spin.
Hund's Rule: Maximize unpaired electrons in degenerate orbitals.

Filling Order of Orbitals
Electrons fill orbitals in order of increasing energy, following the diagonal rule or periodic table guidance.
Order: 1s, 2s, 2p, 3s, 3p, 4s, 3d, 4p, 5s, 4d, 5p, etc.

Condensed Electron Configurations
Condensed electron configurations use noble gas symbols in brackets to represent core electrons, followed by explicit notation for valence electrons.
Example: Lithium: [He]2s1 (He = 1s2)
Example: Phosphorus: [Ne]3s23p3 (Ne = 1s22s22p6)

Transition Metals and Electron Configurations
Transition metals begin filling d orbitals after the s orbital of the next higher shell. The periodic table guides the order of filling.
Example: Manganese: [Ar]4s23d5
Example: Zinc: [Ar]4s23d10

Periodic Table and Electron Configuration
The periodic table is a powerful tool for determining electron configurations. Each block corresponds to the filling of a specific type of orbital.
s-block: Groups 1A and 2A (2 electrons per period).
p-block: Groups 3A–8A (6 electrons per period).
d-block: Transition metals (10 electrons per period).
f-block: Lanthanides and actinides (14 electrons per period).

Important Anomalies in Electron Configurations
Some elements have electron configurations that deviate from the expected order due to stability associated with half-filled or fully filled subshells.
Chromium: [Ar]4s13d5 instead of [Ar]4s23d4
Copper: [Ar]4s13d10 instead of [Ar]4s23d9

Valence Electron Configuration
Valence electrons are those in the outermost shell beyond the noble gas core. They are responsible for chemical reactivity and bonding.
Valence electrons: Explicitly written in electron configuration.
Core electrons: Represented by noble gas symbol in brackets.
