BackEssential General Chemistry Exam 1 Study Guide: Atoms, Quantum Mechanics, and Measurement
Study Guide - Smart Notes
Tailored notes based on your materials, expanded with key definitions, examples, and context.
Atoms and Atomic Structure
Conversions: Grams, Moles, and Number of Atoms
Understanding the relationships between mass, moles, and the number of atoms is fundamental in chemistry. The mole is a unit that allows chemists to count atoms by weighing them.
Grams to Moles: Divide the mass of a substance (in grams) by its molar mass (g/mol).
Moles to Number of Atoms: Multiply the number of moles by Avogadro's number ( atoms/mol).
Grams to Number of Atoms: Convert grams to moles, then moles to atoms.
Example: If you have 12 g of carbon (), you have 1 mole, or atoms.
Atomic Number, Atomic Mass, and Molar Mass
The periodic table provides key information about each element:
Atomic Number (Z): Number of protons in the nucleus; defines the element.
Atomic Mass: Weighted average mass of an element's isotopes (in atomic mass units, amu).
Molar Mass: Mass of one mole of an element (in grams per mole).
Weighted Average of Atomic Masses
To calculate the average atomic mass, use the masses and abundances of isotopes:
Formula:
Example: If an element has two isotopes: 10 amu (60%) and 11 amu (40%), average mass = amu.
Fundamental Laws of Chemistry
Law of Conservation of Mass
States that mass is neither created nor destroyed in a chemical reaction.
Application: The total mass of reactants equals the total mass of products.
Law of Definite Proportions
A chemical compound always contains the same elements in the same proportion by mass.
Example: Water (H2O) always has a mass ratio of hydrogen to oxygen of 2:16.
Law of Multiple Proportions
When two elements form more than one compound, the masses of one element that combine with a fixed mass of the other are in ratios of small whole numbers.
Example: CO and CO2 have mass ratios of oxygen to carbon in a 2:1 ratio.
Quantum Mechanics and Atomic Models
Bohr Model for the Hydrogen Atom
The Bohr model explains the energy levels of electrons in hydrogen. Electrons move between energy levels, absorbing or emitting energy as photons.
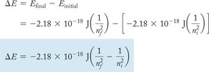
Energy Change Equation: The energy difference when an electron transitions between levels is:
J
Application: Calculate the energy required to excite or relax an electron, and the wavelength of light involved.

De Broglie Equation
Describes the wave nature of particles:
Equation:
Where: = wavelength, = Planck's constant, = mass, = velocity.
Criteria that Define a Wave
Waves are characterized by:
Wavelength (): Distance between two consecutive peaks.
Frequency (): Number of cycles per second (Hz).
Amplitude: Height of the wave; relates to intensity.
Heisenberg Uncertainty Principle
States that it is impossible to simultaneously know the exact position and momentum of a particle.
Equation:
Photons and the Photoelectric Effect
Energy of a Photon
The energy of a photon is related to its frequency and wavelength:
Equation:
Application: Calculate energy for one photon, multiple photons, or a mole of photons.
Einstein's Photoelectric Effect Equation
Describes the kinetic energy of electrons ejected from a metal surface:
Equation:
Quantum Numbers and Electron Configuration
Quantum Numbers: Definitions and Rules
Quantum numbers describe the properties of atomic orbitals and electrons:
Principal Quantum Number (): Energy level;
Angular Momentum Quantum Number (): Shape of orbital; to
Magnetic Quantum Number (): Orientation; to
Spin Quantum Number (): Electron spin; or
Knowing one quantum number restricts the possible values of others. For example, if , then can be 0, 1, or 2.
Information from Quantum Numbers
Each quantum number provides specific information:
: Energy and size of orbital
: Shape of orbital
: Orientation in space
: Spin direction
Measurement and Problem Solving
Conversion Factors and Multi-Step Conversions
Conversion factors are used to change units in calculations. Multi-step conversions involve chaining several conversion factors.
Example: To convert cm to km: cm → m → km.
Significant Figures
Rules for significant figures ensure that reported answers reflect the precision of measurements.
Rule: The number of significant figures in the result should match the least precise measurement used in the calculation.
Example: Multiplying 2.5 (2 sig figs) by 3.42 (3 sig figs) gives a result with 2 sig figs.
Quantum Number | Symbol | Possible Values | Information Provided |
|---|---|---|---|
Principal | n | 1, 2, 3, ... | Energy level, size |
Angular Momentum | l | 0 to n-1 | Shape |
Magnetic | m_l | -l to +l | Orientation |
Spin | m_s | +1/2 or -1/2 | Spin direction |
Additional info: Academic context and examples were added to ensure completeness and clarity for exam preparation.