BackChapter 1: Molecular Structure and Properties – Organic Chemistry Study Guide
Study Guide - Smart Notes
Tailored notes based on your materials, expanded with key definitions, examples, and context.
Introduction to Molecular Structure and Properties
Overview of Organic Chemistry
Organic chemistry is the branch of chemistry focused on molecules containing carbon and hydrogen atoms. Carbon's unique ability to form strong bonds with a variety of elements results in millions of stable molecules, each with distinct physical properties and reactivity. Most organic molecules also contain nitrogen, oxygen, fluorine, chlorine, bromine, iodine, phosphorus, and sulfur, but the majority are composed of hydrogen, carbon, nitrogen, and oxygen.
Lewis Structures and the Octet Rule
Lewis Structures
Lewis structures represent the valence electrons of atoms as dots around the element's symbol. Atoms form covalent bonds to achieve the stable electron configuration of the nearest noble gas, typically aiming for eight valence electrons (the octet rule). This rule helps predict how atoms combine to form organic molecules.
Valence Electrons: Electrons in the outermost shell, most reactive.
Octet Rule: Second-row elements bond to obtain eight valence electrons.
Example: Drawing Lewis structures for CH5N.

Formal Charge
Calculating Formal Charge
Formal charge is the charge assigned to an atom in a molecule, calculated by comparing the number of valence electrons in the free atom to those assigned in the molecule:
Formula:
Application: Used to identify atoms with excess or deficient electrons.
Constitutional Isomers
Definition and Examples
Constitutional isomers are molecules with the same molecular formula but different bonding arrangements. Hydrocarbons containing only hydrogen and carbon are classified as alkanes if saturated (maximum hydrogens, formula ).
Saturated Hydrocarbons: Alkanes, straight or branched chains.
Unsaturated Hydrocarbons: Contain double or triple bonds.
Degree of Unsaturation: Indicates presence of rings or multiple bonds.
VSEPR Theory and Molecular Shape
VSEPR Theory
The Valence Shell Electron Pair Repulsion (VSEPR) theory predicts the three-dimensional shape of molecules based on the repulsion between electron clouds (bonds and lone pairs). The steric number determines the electron arrangement and bond angles.
Steric Number: Number of charge clouds (bonds/lone pairs) around a central atom.
Common Arrangements: Linear (180°), Trigonal planar (120°), Tetrahedral (109.5°).

Electronegativity, Bonding, and Charge Distribution
Electronegativity
Electronegativity is the tendency of an atom to attract electrons in a bond. The difference in electronegativity between atoms determines the bond type:
Ionic Bond: Large difference, complete electron transfer.
Polar Covalent Bond: Moderate difference, unequal sharing.
Nonpolar Covalent Bond: Small difference, equal sharing.

Molecular Charge Distribution
Charge distribution in molecules can be visualized using electrostatic potential maps, which show regions of partial positive and negative charge.

Dipole Moments and Molecular Polarity
Dipole Moment
The dipole moment () is a measure of molecular polarity, calculated as the product of the partial charge () and the distance () between charges:
Formula:
Units: Debye (D)
Example:
The overall molecular dipole is the vector sum of individual bond dipoles, considering both magnitude and direction.
Intermolecular Forces
Types of Intermolecular Forces
Intermolecular forces are attractions between molecules, weaker than covalent or ionic bonds. The main types are:
Ion-Ion Interactions: Between charged ions.
Permanent Dipole-Dipole: Between polar molecules.
Hydrogen Bonding: Strong dipole-dipole interaction involving H bonded to N, O, or F.
London Dispersion Forces: Transient dipole-induced attractions in nonpolar molecules.
Molecular Properties: Boiling Point, Melting Point, and Solubility
Boiling Point
Boiling point is determined by the strength of intermolecular forces. Stronger forces require more energy to vaporize molecules, resulting in higher boiling points. The general ranking is:
Ionic bond > Hydrogen bond > Permanent dipole-dipole > London dispersion

Melting Point
Melting point depends on molecular shape, dipole moment, and packing efficiency in a crystal lattice. Molecules that pack well have higher melting points.
Solubility
Solubility is governed by the ability of solute molecules to interact with solvent molecules. Polar solutes dissolve in polar solvents, and nonpolar solutes in nonpolar solvents. Hydrogen bonding enhances solubility in water.
Water Solubility: Small, highly polar, or ionic compounds with ≤6 carbons, or compounds with at least one hydrogen bond donor per 3-4 carbons.


Condensed Formula and Bond-line Structures
Bond-line Structures
Bond-line structures simplify the representation of large organic molecules by omitting carbon and hydrogen atoms, assuming their presence at line ends and vertices. Multiple bonds are shown explicitly, and heteroatoms are drawn with attached hydrogens.
Primary, Secondary, Tertiary, Quaternary Carbons: Classification based on the number of carbon atoms attached.
Functional Groups: Indicated explicitly, lone pairs omitted unless emphasized.
Functional Groups in Organic Molecules
Classification by Functional Group
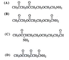
Functional groups are recurring bonding patterns that define the physical properties and chemical reactivity of organic molecules. Common functional groups include alkanes, alkenes, alkynes, arenes, alcohols, ethers, esters, amines, amides, aldehydes, ketones, carboxylic acids, and thiols.

Identifying Functional Groups
Organic molecules are often classified and named based on their functional groups. For example, a molecule containing amine, ester, ether, and aldehyde groups can be identified by analyzing its structure.

Additional info: These notes expand on brief points from the original material, providing academic context, definitions, and examples for clarity and completeness.