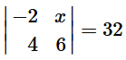
Step 1: Recognize that the problem involves finding the value of \( x \) such that the determinant of the 2x2 matrix \( \begin{bmatrix} -2 & x \\ 4 & 6 \end{bmatrix} \) equals 32.
Step 2: Recall the formula for the determinant of a 2x2 matrix \( \begin{bmatrix} a & b \\ c & d \end{bmatrix} \) is given by \( ad - bc \).
Step 3: Apply the determinant formula to the given matrix: \( (-2)(6) - (x)(4) = 32 \).
Step 5: Solve the resulting linear equation for \( x \) by isolating \( x \) on one side.
Verified video answer for a similar problem:
This video solution was recommended by our tutors as helpful for the problem above
Video duration:
1m
Play a video:
0 Comments
Key Concepts
Here are the essential concepts you must grasp in order to answer the question correctly.
Determinant of a 2x2 Matrix
The determinant of a 2x2 matrix [[a, b], [c, d]] is calculated as ad - bc. This scalar value provides important properties of the matrix, such as invertibility. In this problem, the determinant is set equal to 32, which forms an equation to solve for x.
After expressing the determinant as an algebraic expression, you form an equation equal to 32. Solving this equation involves isolating the variable x using algebraic operations like addition, subtraction, multiplication, and division to find its value.
The vertical bars around the matrix indicate the determinant, not absolute value of a number. Understanding this notation is crucial to avoid confusion and correctly interpret the problem as finding the determinant rather than an absolute value.