Join thousands of students who trust us to help them ace their exams!
Multiple Choice
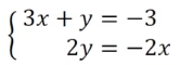
Determine if substitution or elimination would be more convenient to use for the system below.
A
Substitution
B
Elimination
0 Comments
Verified step by step guidance
1
Step 1: Look at the given system of equations:
\[\{ \begin{cases} 3x + y = -3 \\ 2y = -2x \end{cases} \]
Step 2: Check if either equation is already solved for one variable or can be easily solved for one variable. The second equation, \[2y = -2x\], can be simplified to \[y = -x\] by dividing both sides by 2.
Step 3: Since the second equation is now expressed as \[y = -x\], substitution is convenient because you can substitute \[-x\] directly for \[y\] in the first equation.
Step 4: Substituting \[y = -x\] into the first equation gives:
\[3x + (-x) = -3\]
Step 5: This substitution simplifies the system to one equation with one variable, making it easier to solve. Therefore, substitution is the more convenient method for this system.