Multiple Choice
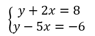
Use the graph to identify the solution to the system of equations or identify that the system has or infinitely many solutions. If there is a solution, check that the point satisfies both equations.
Independent and Consistent
Dependent and Consistent
Inconsistent
Verified step by step guidanceMaster Introduction to Systems of Linear Equations with a bite sized video explanation from Patrick Ford
Start learning