Use the Fundamental Counting Principle to solve Exercises 29–40. A popular brand of pen is available in three colors (red, green, or blue) and four writing tips (bold, medium, fine, or micro). How many different choices of pens do you have with this brand?
Table of contents
- 0. Review of Algebra4h 18m
- 1. Equations & Inequalities3h 18m
- 2. Graphs of Equations1h 43m
- 3. Functions2h 17m
- 4. Polynomial Functions1h 44m
- 5. Rational Functions1h 23m
- 6. Exponential & Logarithmic Functions2h 28m
- 7. Systems of Equations & Matrices4h 5m
- 8. Conic Sections2h 23m
- 9. Sequences, Series, & Induction1h 22m
- 10. Combinatorics & Probability1h 45m
10. Combinatorics & Probability
Combinatorics
Problem 23
Textbook Question
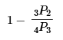
In Exercises 21–28, evaluate each expression.

Verified step by step guidance1
Identify the specific expression given in the exercise that needs to be evaluated. Since the problem refers to Exercises 21–28, locate the exact expression you are working on.
Rewrite the expression clearly, using MathML if necessary, to understand all components such as variables, constants, exponents, and operations involved.
Apply the order of operations (PEMDAS/BODMAS): first evaluate any expressions inside parentheses or brackets, then exponents, followed by multiplication and division from left to right, and finally addition and subtraction from left to right.
Simplify the expression step-by-step, performing each arithmetic operation carefully without skipping steps to avoid mistakes.
Once all operations are completed, write down the simplified result as the evaluated value of the expression.
Verified video answer for a similar problem:This video solution was recommended by our tutors as helpful for the problem above
Video duration:
3mPlay a video:
Was this helpful?
Key Concepts
Here are the essential concepts you must grasp in order to answer the question correctly.
Order of Operations
The order of operations is a set of rules that dictate the sequence in which mathematical operations should be performed to correctly evaluate an expression. It follows the PEMDAS/BODMAS rule: Parentheses/Brackets, Exponents/Orders, Multiplication and Division (left to right), Addition and Subtraction (left to right). Understanding this ensures accurate evaluation of expressions.
Recommended video:
Guided course
Performing Row Operations on Matrices
Evaluating Algebraic Expressions
Evaluating an algebraic expression involves substituting given values for variables and performing arithmetic operations to simplify the expression to a single numerical value. This process requires careful application of arithmetic rules and simplification techniques.
Recommended video:
Guided course
Evaluating Algebraic Expressions
Properties of Real Numbers
Properties of real numbers, such as the distributive, associative, and commutative properties, help simplify and manipulate expressions during evaluation. Recognizing these properties allows for efficient and accurate calculation of expressions.
Recommended video:
Introduction to Complex Numbers
Watch next
Master Fundamental Counting Principle with a bite sized video explanation from Patrick
Start learningRelated Videos
Related Practice
Textbook Question
518
views
