In Exercises 55–56, write the system of linear equations for which Cramer's Rule yields the given determinants.
Verified step by step guidance
1
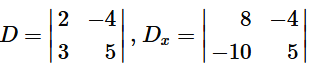
Step 1: Understand that the determinant D corresponds to the coefficient matrix of the system of linear equations. The matrix for D is given as \( \begin{bmatrix} 2 & -4 \\ 3 & 5 \end{bmatrix} \). This means the system has two variables, say \( x \) and \( y \), and the coefficients of these variables in the two equations are from this matrix.
Step 2: The determinant \( D_x \) is formed by replacing the first column of the coefficient matrix with the constants from the right-hand side of the equations. The matrix for \( D_x \) is \( \begin{bmatrix} 8 & -4 \\ -10 & 5 \end{bmatrix} \). This tells us the constants on the right side of the equations are 8 and -10 respectively.
Step 3: Write the system of linear equations using the coefficients from matrix D and the constants from the right side. The first equation uses the first row of D: \( 2x - 4y = 8 \). The second equation uses the second row of D: \( 3x + 5y = -10 \).
Step 4: Verify that the system is consistent with the determinants given. The determinant D should not be zero for Cramer's Rule to apply, and the determinants D and \( D_x \) correspond to the coefficient matrix and the matrix with the first column replaced by constants, respectively.
Step 5: Summarize the system of equations as: \( \begin{cases} 2x - 4y = 8 \\ 3x + 5y = -10 \end{cases} \). This is the system for which Cramer's Rule yields the given determinants.
Verified video answer for a similar problem:
This video solution was recommended by our tutors as helpful for the problem above
Video duration:
3m
Play a video:
Was this helpful?
Key Concepts
Here are the essential concepts you must grasp in order to answer the question correctly.
Cramer's Rule
Cramer's Rule is a method for solving systems of linear equations using determinants. It states that each variable in the system can be found by dividing the determinant of a matrix formed by replacing the variable's column with the constants column by the determinant of the coefficient matrix.
The determinant of a 2x2 matrix [[a, b], [c, d]] is calculated as ad - bc. This scalar value helps determine if the system has a unique solution (non-zero determinant) and is essential in applying Cramer's Rule.
Forming Systems of Linear Equations from Determinants
Given determinants D and D_x, you can reconstruct the system of linear equations by identifying the coefficient matrix from D and replacing the appropriate column with constants from D_x. This process helps write the original system that corresponds to the given determinants.