Join thousands of students who trust us to help them ace their exams!
Multiple Choice
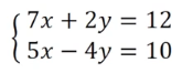
Determine if substitution or elimination would be more convenient to use for the system below.
A
Substitution
B
Elimination
0 Comments
Verified step by step guidance
1
Step 1: Examine the system of equations: \$7x + 2y = 12\( and \)5x - 4y = 10$. Look for coefficients that can be easily manipulated to eliminate one variable.
Step 2: Notice that the coefficients of \(y\) are 2 and -4, which are multiples of each other. This suggests that elimination might be convenient because multiplying the first equation by 2 will give coefficients of \(y\) that are opposites.
Step 3: Multiply the first equation by 2 to get \$14x + 4y = 24\(. Now the system is \)14x + 4y = 24\( and \)5x - 4y = 10$.
Step 4: Add the two equations to eliminate \(y\): \((14x + 4y) + (5x - 4y) = 24 + 10\), which simplifies to \$19x = 34$.
Step 5: After eliminating \(y\), solve for \(x\) and then substitute back into one of the original equations to find \(y\). This confirms elimination is more convenient than substitution here.