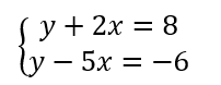
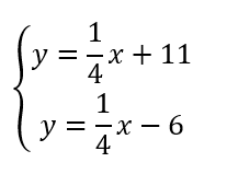
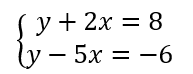
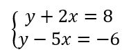
In mathematics, a system of equations refers to a set of two or more equations with the same variables. When dealing with linear equations, the goal is to find the values of the variables that satisfy all equations in the system simultaneously. This is different from solving a single equation, where you only need to find pairs of values (x, y) that satisfy that one equation.
To determine if a point is a solution to a system of equations, it must lie on the graph of each equation in the system. For instance, if you have two linear equations represented graphically, the solution to the system is the point where the two lines intersect. This intersection point is the only coordinate pair that satisfies both equations at the same time.
For example, consider the equations represented by two lines on a graph. If you check a point like (0, -4), you may find that it lies on one line but not the other, meaning it does not satisfy the system. Conversely, a point like (1, 4) may lie on both lines, indicating it is a solution to the system. Thus, the solution to a system of equations is the unique point where the lines cross, which can be verified by substituting the coordinates back into both equations to ensure they yield true statements.
In summary, while a single linear equation can have infinitely many solutions (all the points along the line), a system of linear equations typically has one unique solution where the lines intersect. Understanding this distinction is crucial as you progress in solving more complex systems, which may also include cases with no solutions or infinitely many solutions.
