Multiple Choice
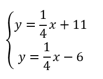
Without using a graph, determine the number of solutions in the following systems of equations, then classify the system.
1
Infinitely Many
0
Verified step by step guidanceMaster Introduction to Systems of Linear Equations with a bite sized video explanation from Patrick Ford
Start learning