Join thousands of students who trust us to help them ace their exams!
Multiple Choice
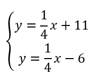
Determine the number of solutions the system of equations has without graphing.
A
1
B
Infinitely Many
C
0
0 Comments
Verified step by step guidance
1
Step 1: Identify the slopes and y-intercepts of both equations. The first equation is \(y = \frac{1}{4}x + 11\) and the second is \(y = \frac{1}{4}x - 6\).
Step 2: Compare the slopes of the two lines. Both have the same slope, \(\frac{1}{4}\), which means the lines are parallel.
Step 3: Compare the y-intercepts. The first line has a y-intercept of 11, and the second has a y-intercept of -6, so they are different.
Step 4: Since the lines are parallel (same slope) but have different y-intercepts, they will never intersect.
Step 5: Conclude that the system of equations has no solutions because parallel lines do not intersect.