Join thousands of students who trust us to help them ace their exams!
Multiple Choice
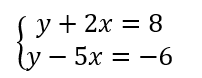
Determine the number of solutions the system of equations has without graphing.
A
1
B
Infinitely Many
C
0
0 Comments
Verified step by step guidance
1
Start with the given system of equations:
\[\begin{cases} y + 2x = 8 \\ y - 5x = -6 \end{cases}\]
To determine the number of solutions without graphing, use the substitution or elimination method. Here, subtract the second equation from the first to eliminate y:
\[ (y + 2x) - (y - 5x) = 8 - (-6) \]
Simplify the left and right sides:
\[ y + 2x - y + 5x = 8 + 6 \]
which reduces to
\[ 7x = 14 \]
Solve for x:
\[ x = \frac{14}{7} \]
Substitute the value of x back into one of the original equations (for example, the first one) to find y:
\[ y + 2\left(\frac{14}{7}\right) = 8 \]
Then solve for y to find the corresponding y-value.