Join thousands of students who trust us to help them ace their exams!
Multiple Choice
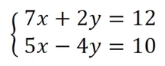
Determine if substitution or elimination would be more convenient to use for the system below.
A
Substitution
B
Elimination
0 Comments
Verified step by step guidance
1
Step 1: Look at the system of equations: \$7x + 2y = 12\( and \)5x - 4y = 10\(. Identify the coefficients of \)x\( and \)y$ in both equations.
Step 2: Consider substitution method: It works best when one variable has a coefficient of 1 or -1, making it easy to isolate that variable. Here, neither \(x\) nor \(y\) has a coefficient of 1 or -1.
Step 3: Consider elimination method: It works well when you can easily multiply one or both equations to get the coefficients of one variable to be opposites, so adding or subtracting the equations eliminates that variable.
Step 4: Notice that the coefficients of \(y\) are 2 and -4, which can be easily manipulated by multiplying the first equation by 2 to get \$4y\( and the second equation already has \)-4y$. This makes elimination convenient.
Step 5: Conclude that elimination is more convenient here because you can quickly eliminate \(y\) by multiplying and adding the equations, simplifying the system to solve for \(x\).