Join thousands of students who trust us to help them ace their exams!
Multiple Choice
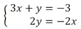
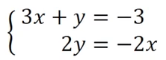
Determine if substitution or elimination would be more convenient to use for the system below.
A
Substitution
B
Elimination
0 Comments
Verified step by step guidance
1
First, look at the system of equations: \$3x + y = -3\( and \)2y = -2x$.
Rewrite the second equation to isolate \(y\): divide both sides by 2 to get \(y = -x\).
Since \(y\) is already isolated in the second equation, substitution is convenient because you can directly substitute \(y = -x\) into the first equation.
Substitute \(y = -x\) into the first equation to get \$3x + (-x) = -3$.
Now, solve the resulting single-variable equation for \(x\), then use that value to find \(y\).