Bribe ‘em with Chocolate In a study published in the journal Teaching of Psychology, the article “Fudging the Numbers: Distributing Chocolate Influences Student Evaluations of an Undergraduate Course” states that distributing chocolate to students prior to teacher evaluations increases results. The authors randomly divided three sections of a course taught by the same instructor into two groups. Fifty of the students were given chocolate by an individual not associated with the course and 50 of the students were not given chocolate. The mean score from students who received chocolate was 4.2, while the mean score for the nonchocolate groups was 3.9. Suppose that the sample standard deviation of both the chocolate and nonchocolate groups was 0.8. Does chocolate appear to improve teacher evaluations? Use the α = 0.01 level of significance.
Table of contents
- 1. Intro to Stats and Collecting Data1h 14m
- 2. Describing Data with Tables and Graphs1h 55m
- 3. Describing Data Numerically2h 5m
- 4. Probability2h 16m
- 5. Binomial Distribution & Discrete Random Variables3h 6m
- 6. Normal Distribution and Continuous Random Variables2h 11m
- 7. Sampling Distributions & Confidence Intervals: Mean3h 23m
- Sampling Distribution of the Sample Mean and Central Limit Theorem19m
- Distribution of Sample Mean - Excel23m
- Introduction to Confidence Intervals15m
- Confidence Intervals for Population Mean1h 18m
- Determining the Minimum Sample Size Required12m
- Finding Probabilities and T Critical Values - Excel28m
- Confidence Intervals for Population Means - Excel25m
- 8. Sampling Distributions & Confidence Intervals: Proportion2h 10m
- 9. Hypothesis Testing for One Sample5h 9m
- Steps in Hypothesis Testing1h 6m
- Performing Hypothesis Tests: Means1h 4m
- Hypothesis Testing: Means - Excel42m
- Performing Hypothesis Tests: Proportions37m
- Hypothesis Testing: Proportions - Excel27m
- Performing Hypothesis Tests: Variance12m
- Critical Values and Rejection Regions28m
- Link Between Confidence Intervals and Hypothesis Testing12m
- Type I & Type II Errors17m
- 10. Hypothesis Testing for Two Samples5h 37m
- Two Proportions1h 13m
- Two Proportions Hypothesis Test - Excel28m
- Two Means - Unknown, Unequal Variance1h 3m
- Two Means - Unknown Variances Hypothesis Test - Excel12m
- Two Means - Unknown, Equal Variance15m
- Two Means - Unknown, Equal Variances Hypothesis Test - Excel9m
- Two Means - Known Variance12m
- Two Means - Sigma Known Hypothesis Test - Excel21m
- Two Means - Matched Pairs (Dependent Samples)42m
- Matched Pairs Hypothesis Test - Excel12m
- Two Variances and F Distribution29m
- Two Variances - Graphing Calculator16m
- 11. Correlation1h 24m
- 12. Regression3h 33m
- Linear Regression & Least Squares Method26m
- Residuals12m
- Coefficient of Determination12m
- Regression Line Equation and Coefficient of Determination - Excel8m
- Finding Residuals and Creating Residual Plots - Excel11m
- Inferences for Slope31m
- Enabling Data Analysis Toolpak1m
- Regression Readout of the Data Analysis Toolpak - Excel21m
- Prediction Intervals13m
- Prediction Intervals - Excel19m
- Multiple Regression - Excel29m
- Quadratic Regression15m
- Quadratic Regression - Excel10m
- 13. Chi-Square Tests & Goodness of Fit2h 21m
- 14. ANOVA1h 57m
10. Hypothesis Testing for Two Samples
Two Means - Known Variance
Problem 8.1.28
Textbook Question
Testing a Difference Other Than Zero Sometimes a researcher is interested in testing a difference in means other than zero. In Exercises 27 and 28, you will test the difference between two means using a null hypothesis of Ho: μ1-μ2=k, Ho: μ1-μ2>=k or Ho: μ1-μ2<=k . The standardized test statistic is still

Architect Salaries Is the difference between the mean annual salaries of entry level architects in Denver, Colorado, and Lincoln, Nebraska, equal to \$9000? To decide, you select a random sample of entry level architects from each city. The results of each survey are shown in the figure. Assume the population standard deviations are σ1=\$6560 and σ2=\$6100 . At α=0.01 what should you conclude? (Adapted from Salary.com)

Verified step by step guidance1
Step 1: Identify the null hypothesis (H0) and alternative hypothesis (Ha). Here, the null hypothesis is that the difference in mean salaries between Denver and Lincoln is \$9000, so H0: \( \mu_1 - \mu_2 = 9000 \). The alternative hypothesis depends on the research question, but typically it could be \( \mu_1 - \mu_2 \neq 9000 \) for a two-tailed test.
Step 2: Gather the sample statistics and population standard deviations. From the problem, we have \( \bar{x}_1 = 58300 \), \( n_1 = 32 \), \( \sigma_1 = 6560 \) for Denver, and \( \bar{x}_2 = 54240 \), \( n_2 = 30 \), \( \sigma_2 = 6100 \) for Lincoln.
Step 3: Calculate the test statistic using the formula for the difference between two means with known population standard deviations: \n\n\( Z = \frac{(\bar{x}_1 - \bar{x}_2) - k}{\sqrt{\frac{\sigma_1^2}{n_1} + \frac{\sigma_2^2}{n_2}}} \)\n\nwhere \( k = 9000 \) is the hypothesized difference.
Step 4: Determine the critical value \( z_c \) for the significance level \( \alpha = 0.01 \). Since this is likely a two-tailed test, find the z-value that corresponds to \( \alpha/2 = 0.005 \) in each tail of the standard normal distribution.
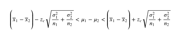
Step 5: Use the confidence interval formula provided to check if the hypothesized difference \( k = 9000 \) lies within the confidence interval bounds: \n\n\( \left( (\bar{x}_1 - \bar{x}_2) - z_c \sqrt{\frac{\sigma_1^2}{n_1} + \frac{\sigma_2^2}{n_2}} , (\bar{x}_1 - \bar{x}_2) + z_c \sqrt{\frac{\sigma_1^2}{n_1} + \frac{\sigma_2^2}{n_2}} \right) \)\n\nIf 9000 is outside this interval, reject the null hypothesis; otherwise, do not reject it.
Verified video answer for a similar problem:This video solution was recommended by our tutors as helpful for the problem above
Video duration:
5mPlay a video:
Was this helpful?
Key Concepts
Here are the essential concepts you must grasp in order to answer the question correctly.
Hypothesis Testing for Difference in Means
This involves testing whether the difference between two population means equals a specific value (not necessarily zero). The null hypothesis can be stated as H0: μ1 - μ2 = k, where k is the hypothesized difference. The alternative hypothesis tests if the difference is greater than, less than, or not equal to k.
Recommended video:
Guided course
Difference in Means: Hypothesis Tests
Standardized Test Statistic for Two Means
The test statistic for comparing two means with known population standard deviations is calculated by subtracting the hypothesized difference from the sample mean difference, then dividing by the standard error of the difference. This statistic follows a normal distribution under the null hypothesis.
Recommended video:
Guided course
Difference in Means: Hypothesis Tests
Significance Level and Decision Rule
The significance level (α) defines the threshold for rejecting the null hypothesis. For α=0.01, the critical value corresponds to the 99% confidence level. If the test statistic falls in the rejection region beyond this critical value, the null hypothesis is rejected, indicating a statistically significant difference.
Recommended video:
Conditional Probability Rule
Watch next
Master Means Known Variances Hypothesis Test Using TI-84 with a bite sized video explanation from Patrick
Start learningRelated Videos
Related Practice
Textbook Question
2
views
